[拼音]:guang de sesan
[外文]:dispersion of light
物质中光的相速度或折射率随光的频率或真空中波长而变化的现象。物质的色散性质通常用其折射率n(n=c/v,v为相速度,с为真空中光速)随频率v或波长λ变化的曲线(色散曲线)或变化率
表示。
光的色散的研究从I.牛顿用棱镜形成阳光的光谱开始。由于各种色光在棱镜材料中的折射率不同。白光进入棱镜的一个表面时,各种色光有不同的折射角,它们就分开向不同方向传播,接着经棱镜另一表面折射出来,这样,入射的白光就被分散形成一个光谱(图1)。天空中的虹的现象可用阳光在水滴上折射时(光线折射进入水滴后又在相对的表面反射,再折射而出)发生色散来说明。
正常色散
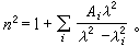
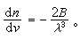
常用的光学材料,折射率随光的频率的增大(波长减小)而增大,例如,紫光的折射率较红光的大,如图2曲线所示。这种变化称为正常色散。表示物质的正常色散的公式最早是A.-L.柯西给出的,写为
(1)
式中常量 A、B、C由实验测定。对在可见光波段透明的材料,上式有相当高的准确度。粗略些,可只取上式右方前两项
并由此可得
这个关系表明,在正常色散范围内,波长越短,折射率随波长变化率的值越大。
反常色散1860年F.-P.勒鲁在充满碘蒸气的棱镜中观察折射现象时,发现红光比蓝光的偏折更大。他把这一现象称为反常色散。以后也在充满染料品红溶液的棱镜实验中观察到这一现象。现在把折射率随频率的增大而减小的变化称为反常色散。A.孔脱对反常色散现象的研究确定了:一种物质在某一波长区域内有反常色散时,则在该区域内也有强烈的吸收。理论研究表明,在物质的吸收带(见光的吸收)范围内存在反常色散,而在吸收带以外或在两个吸收带之间则存在正常色散。每一物质都具有正常色散与反常色散的性质,表现于不同波长区域内。
1871年W.塞耳迈耶尔在弹性以太理论基础上得出一个色散公式(塞耳迈耶尔公式)
(2)
式中A与λo为两个常量,λo表示对应于物质中微粒的固有振动频率的真空中波长,也就是物质的吸收线或吸收带的波长位置。这个公式可更好地表述靠近吸收线区域的n与λ关系,但存在一个困难,即当λ=λo时公式无意义。在λ
λo时把式(2)展开可得柯西公式。 考虑到物质可以有几个固有频率, 则应把式(2)写成
(3)
常用的透明材料的吸收带多位于紫外线波段以及红外、远红外波段内,可见光波段恰在吸收带之间。
物质的色散性质对于它作光学元件材料有重要意义,例如分光棱镜要利用材料的色散以形成光谱,作为成像元件的透镜组常要根据材料的色散性质消除色差。
色散的理论色散的经典电子理论主要是由H.A.洛伦兹提出的。他把色散物质看作是由分子(原子)构成的体系;把分子(或原子)看作振子,其中电子在束缚力作用下有一定的固有振动频率(电子振动的固有频率在紫外或可见光波段;分子中的原子也可以振动,其固有频率在红外波段;这里只考虑电子)。当光在物质中传播时,光波的电磁场引起这些振子进行与光波同频率的强迫振动,同时因发出辐射或由于分子间的相互作用(如碰撞)而受到阻力(可认为这阻力正比于电子运动速度)。这些振子形成了物质内各处的变化的电矩。它们发出与光波同频率的辐射(相干散射),并能从光波吸收能量。
对于无极分子,设电子的质量与电荷分别为m与e,振动中电子离开平衡位置的位移为x,束缚力为-kx,阻力为-g凧,光波场为
,则电子的运动方程为
(4)
再令
表示固有圆频率,
为衰减系数,则强迫振动的位移x为
振幅
是光波圆频率ω 的函数。xo为复数表明强迫振动与光波振动有一定的位相差。由振子形成的变化电矩可写成ex。若物质单位体积中有N个分子,则它们共有Nfo个固有频率为ωo的振子,其极化强度为p=Nfoex,因而物质的相对介电常数(真空介电常数用εo表示)为
光波在物质中的相速度与物质的折射率分别等于
,
(在光波情形,一般物质的相对磁导率
)。由此可得折射率与圆频率关系
(5)
上式适用于足够稀薄的气体。对稠密物质如液体、固体的分子,则考虑到周围物质极化的影响,应换用有效电场
用E┡代换式(4)中的E 并利用p=Nfoex可得
令
则上式可写成
与式(5)形式一致,只是把
换为
。当 N 足够小时,
,上式退化为式(5)。这说明液体、固体的n与ω关系与气体有相似的形式。
式(5)表明n为复数。若换用怾表示,并写作怾=n(1+ik)称为物质的复折射率,则式(5)换为
由此得出
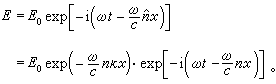
n与k的意义如下。利用怾可写出物质中频率为ω的均匀平面波表式为
这是一个相速度为
而光强按
随传播距离而减弱的光波。这表明物质对光有吸收,线性吸收系数
(见光的吸收)。因此式(5)可给出物质的折射率n,也可给出线性吸收系数c。
当ω远离固有频率ωo时,
可不计吸收,令k=0而得
折射率随ω增大而增大,这就是正常色散。容易看出,上式与塞耳迈耶尔公式(2)一致。
当ω接近ωo时,即电子的振动接近共振时,吸收急剧增大。若考虑稀薄气体,n与怾均极接近等于1,则由式(5)近似可得
从而
当γ 很小时在ω接近ωo的范围内n与nk的曲线如图3。更一般情况下,这两个曲线也与图3有类似的形状。曲线表明在吸收区内出现折射率随频率的增大而减小的现象,这就是反常色散。
当物质分子可以有几个固有频率ωi时,式(5)可写成
(6)
令γi=0(不考虑吸收),则由此可得出塞耳迈耶尔公式。
要说明在物质中传播的光波的相速度的改变,需要考虑原光波与物质中作强迫振动的振子所辐射的波(即相干散射)的叠加(原光波与散射波都看作是在真空中传播)。物质中的光波就是这两者叠加(干涉)的合成波。由于强迫振动与光波场振动有一定的位相差(由频率决定),所以原光波传播时因叠加了散射波而不断地发生位相的改变。这种不断的位相改变就是物质中光波的相速度与真空中不同的原因,对于不同频率的光波,这种位相改变是不同的。具体分析表明,对于不同频率的光波,因相速度的改变也是不同的。
按照上述理论,在图3中ω>ωo的一侧可以得到v>с(即n<1),即物质中光波的相速度可大于真空中光速。因为实际上任何信号在物质中传播的速度是由群速度或是由信号速度决定的,而且可以证明信号的速度总不会大于真空中光速,所以v>с的情况并不违反相对论。
用量子理论讨论色散现象得出的结果与经典理论结果基本一致。例如对于稀薄气体,不计衰减效应时可得色散公式
(7)
与由式(6)所得结果一致;但对式中的ωi与fi应有与经典理论不同的理解:这里ωi表示在原子中电子由能级Eo(通常为基态能级)向高能级Ei的跃迁所对应的圆频率
(媡表示普朗克常数),fi与这种跃迁的几率成正比。因为可把能级间跃迁看作等效的经典振子,所以fi称为振子强度。式 (7)中相加的各项对应于各种可能的跃迁。用量子理论可以根据原子的数据及波函数算出fi的值,一般fi<1。
当物质的原子处于激发态时(例如放电管正柱区中的情形),式 (7)中还要考虑从激发态向低能级的跃迁,对应的fi用负值表示。由这些负值的项决定的色散现象称为负色散。实验中也证实了负色散现象的存在。