阿佩尔方程

法国数学家 P.-┵.阿佩尔导出的适用于非完整系统的重要动力学方程,其形式为:

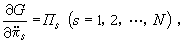
公式 符号   (1)

式中G吉布斯函数,它是加速度动能式公式 符号用准加速度s =1,2,...,N )表示之式;公式 符号为对应于准坐标πs广义力;N是系统的自由度。由于完整系统是非完整系统的特例,因此,凡是适用于非完整系统的动力学方程,亦适用于完整系统。

假定一个有n个质点的非完整系统,它含l个有限约束

公式 符号

r个微分约束

公式 符号   (2)

可先利用有限约束,将3nxm=3n-l广义坐标q1q2,...,qm表示,r个微分约束用qi和妜i(i=1,2,...,m)表示。由此可变换式(2)为:

公式 符号,   (3)

式中m个妜jj=1,2,...,m)只有N(=m-r)个是独立的。为了更一般化,采用m个妜的线性式组成N个准速度囜来描述这系统,即

公式 符号

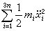
由于非完整系统的微分约束(3)是不可积的,所以坐标πs不一定存在,这就是πs是准坐标名称的由来。的时间导数称为准加速度。 由于式(1)左边是对的偏导数,所以G中一切不含的项都可以舍去不写,从而使计算G函数的工作量大为减少。

圆球、圆轮在粗糙面上无滑动地滚动,溜冰鞋在冰上的滑行等都是非完整系统力学问题的例子。

参考书目
  1. W.D.MacMillan,Dynamics of Rigid Bodies,McGraw-Hill,New York,1936.
  2. E.T.Whittaker,A Treatise on the Analytical Dynamicsof Particles and Rigid Bodies,4th ed.,Cambridge Univ.Press,Cambridge,1952.
  3. 汪家訸编:《分析力学》,高等教育出版社,北京,1983。