[拼音]:guangyi dongliang
[外文]:generalized momentum
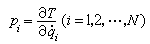
描述系统运动的一个重要的物理量。是系统的动能对相应广义速度(见拉格朗日方程)的偏导数,即
。
N个自由度的力学系统有N个广义动量。式中T是系统的动能,系统的变量是广义坐标qi,T是广义坐标qi、广义速度妜i的函数,T是N个广义速度的二次函数。既然上式定义的量称为广义动量,它自然也应包括原有的动量。例如,对于在空间中运动的一个质点,它的动能式可写为
,于是
,同样,
,
。所以对于妜i为线速度的情况,Ei是线动量。对于绕定轴转动的刚体,以q=嗞表示刚体绕轴的转角,角速度为
,动能
,式中I是刚体对转轴的转动惯量,于是
。这是刚体绕轴的角动量(或动量矩),所以在妜i为角速度的情况下,Ei是角动量,它的量纲和动量不同。广义坐标qi和对应的广义动量Ei合称为共轭动力变量。用广义坐标qi和广义动量Ei联合表示的动力学方程──正则方程,具有深刻的力学意义。