动量定理

动力学普遍定理之一,它给出质点系的动量和质点系所受机械作用的冲量之间的关系。动量定理有微分形式和积分形式两种。

微分形式的动量定理

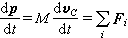
若质点系的总质量为Μ,质心速度为vC,则它的总动量为=ΜvC。上式二边对时间求导数,并利用质心运动定理得:

公式 符号,       (1)

式中公式 符号为作用在质点系上所有外力的矢量和。式(1)就是用微分形式表示的动量定理,它表明:质点系的总动量对时间的变化率等于质点系所受外力的矢量和。可以看出,质点系总动量的变化仅与外力有关,并不受质点系中各质点相互作用的内力的影响。

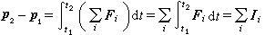
积分形式的动量定理

积分式(1),并用p1p2分别表示质点系在时间t1t2的总动量,则有:

公式 符号,   (2)

式中公式 符号为时间间隔t2-t1内作用于第i个质点上的外力的冲量。上式是用积分形式表示的动量定理,它表明:在某力学过程的时间间隔内,质点系总动量的改变,等于在同一时间间隔内作用于质点系所有外力的冲量的矢量和。

由于动量定理和质心运动定理是可以相互推导的,所以这两定理在本质上是一致的。在研究刚体或刚体系统的运动时,由于质心坐标容易确定,用质心运动定理比较方便;但在研究流体运动时,由于质心的坐标难以确定,用动量定理比较适宜。质点是质点系的一个特殊情况,故动量定理也适用于一个质点。