[拼音]:linben’erjiasuangan
[外文]:phthalic anhydride
邻苯二甲酸分子内失去一分子水而形成的环酸酐,分子式1,2-C6H4(CO)2O。邻苯二甲酸酐为无色结晶;熔点131.6℃,沸点295℃(升华);微溶于冷水、乙醚,易溶于热苯、乙醇、乙酸中。
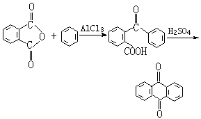
邻苯二甲酸酐可发生水解、醇解和氨解反应。它与芳烃进行弗里德-克雷夫茨反应,可以合成蒽醌衍生物:
邻苯二甲酸酐的工业制法是在五氧化二钒催化下,由萘与空气在350~360℃进行气相氧化制得。也可用空气氧化邻二甲苯制备。
邻苯二甲酸酐可代替邻苯二甲酸使用。其主要用途是与一元醇反应形成酯,例如邻苯二甲酸二丁酯、邻苯二甲酸二辛酯,它们都是重要的增塑剂。邻苯二甲酸酐与多元醇如甘油、季戊四醇缩聚(见缩合聚合),生成聚芳酯树脂,用于油漆工业;若与乙二醇和不饱和酸缩聚,则生成不饱和聚酯树脂,可制造绝缘漆和玻璃纤维增强塑料。邻苯二甲酸酐也是合成苯甲酸、对苯二甲酸的重要原料;也可用于药物合成。