[拼音]:zengqiang suliao
[外文]:reinforced plastics
含有增强材料的塑料,是一种重要的高分子复合材料。增强塑料分增强热固性塑料和增强热塑性塑料两类,以热固性为主。
采用的热固性树脂有:不饱和聚酯、酚醛树脂、环氧树脂、有机硅树脂、醇酸树脂、三聚氰胺-甲醛树脂;采用的热塑性树脂有:聚酰胺、氟树脂、聚碳酸酯、聚砜、丙烯酸类树脂(丙烯酸或甲基丙烯酸及其酯类的聚合物)、聚甲醛、ABS树脂、聚乙烯和聚丙烯等。所用增强材料有金属材料、非金属材料和高分子材料,三者均以纤维状材料为主。常用的增强纤维有玻璃纤维、碳纤维、石棉纤维、硼纤维和芳香族聚酰胺纤维。增强材料具有较高的强度和模量。树脂具有许多固有的优良物理、化学(耐腐蚀、绝缘、耐辐照、耐瞬时高温烧蚀等)和加工性能。树脂与增强材料复合后,增强材料可以起到增进树脂的力学或其他性能,而树脂对增强材料可以起到粘合和传递载荷的作用,使增强塑料具有优良性能(见表)。
偶联剂
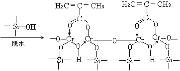
为了提高树脂与增强材料的粘接能力,有些增强材料在使用前需用偶联剂进行表面处理。不同树脂和增强材料选用不同的偶联剂。以玻璃纤维为例,所用偶联剂主要有铬络合物和硅烷两类。常用的铬络合物为甲基丙烯酸氯化铬络合物(又称沃兰),它的一端与含硅烷醇基的玻璃纤维(玻璃
)作用,即:

另一端可与环氧树脂、聚酯和酚醛树脂等反应,从而起粘接树脂和玻璃纤维的作用。乙烯基三乙氧基硅烷也是常用的硅烷偶联剂,它与玻璃纤维的作用同沃兰类似。
成型方法按成型压力低于或高于7MPa可分为低压法和高压法;按工艺特点则可分为手糊成型、层压成型、模压成型、注射成型和缠绕成型等。手糊成型又称接触成型,即先在表面涂有脱膜剂的模具上,喷涂一层树脂,然后铺上一层增强材料,每铺一层排除气泡一次,直至所需厚度,即进行固化处理,然后脱模整修。这种成型方法的优点是可以用于制造大型制品,设备及操作简单;缺点是生产效率低,制品精确度较差。缠绕成型主要用于贮罐、大型管道和耐压容器等的制造。工艺过程是将浸有树脂的纤维(或织物)有规则地缠绕在相当于制品外形的芯模或内衬上,然后加热固化成型。根据制法和用途的不同,芯模分为不可卸式金属芯模、可卸式金属芯模、可敲碎式芯模(用石膏、石英砂、石蜡或陶土制成)、橡皮袋芯模(用压缩空气吹胀的橡皮袋)和组合芯模(金属-橡胶、金属-石膏等)。凡用芯模作为内衬以提高制品强度或气密性的,可以采用不可卸式芯模。