[拼音]:fangcha fenxi
[外文]:analysis of variance
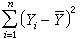
分析实验数据的一种重要的数理统计学方法。其要旨是对样本观测值的总变差平方和进行适当的分解,以判明实验中各因素影响的有无及其大小。这是由R.A.费希尔1923年首创的。设Y1,Y2,…,Yn为n个观测值,
为平均值,称
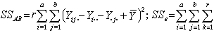
为Y1,Y2,…,Yn的变差平方和,简称总平方和,它反映观测值在平均值上下波动的大小。当观测值受到多种因素的影响时,每一因素都对平方和的值有影响,若能从平方和中分解出反映某一因素影响的那一部分(也用平方和的形式表示),则由这部分的大小就可以推断该因素的影响是否显著。但是,若试验未经适当的设计,则所产生的数据难以进行平方和分解与相应的统计推断。因此方差分析和实验设计法是密切相关的,不同的实验设计相应于不同的方差分析形式,而方差分析理论对实验设计的选择又有指导作用。例如,进行一项作物品种与肥料的农业试验,品种和肥料就是所考虑的两个不同的因素,而各因素的不同取“值”,称为该因素的水平。假定有α个品种A1、…、Aα与b种肥料B1、…、Bb供选取,在水平Ai和Bj的组合条件下的试验称为一个处理。在这试验中,全部可能的处理数目共有αb个,即为因素A(品种)与因素B(肥料)的各自水平数的乘积。设每个处理种r块试验田,以Yijk)记用第i个品种、第j种肥料在第k个重复试验的地块上所得试验的亩产量,对不同的(i,j,k),Yijk)之值各不相同,它的总变差平方和为
(
是全部Yijk)的平均值),它反映了品种、肥料以及随机误差(它包含土壤的不均匀性等大量的不可控因素)的影响,通常又称总平方和。在这种两因素试验情况下总平方和可以分解为四部分
, (1)
式中


(Yijk)-Yij.)2,而Y
为固定i对一切j、k求Yijk)的平均值,Y.j.与Yij.有类似的含义。SSA和 SSB分别反映因素A和B各自对SST的贡献,分别称为因素A和B的主效应平方和。SSAB反映由因素A、B的相互影响而对SST的贡献,称为A、B的交互效应平方和。SSe反映随机误差的影响,通常称误差平方和。每项平方和都对应着一个“自由度”,就上例而言,SSA、SSB、SSAB、SSe的自由度分别为α-1、b-1、(α-1)(b-1)和αb(r-1)。 分别记之为ƒA、ƒA、ƒe和ƒe。总平方和SST的自由度 ƒT定义为总的观测次数减去1,即αbr-1,它恰好是ƒA、ƒA、ƒe和ƒe之和,即有类似于(1)的分解式
(2)
平方和除以各自的自由度称为均方,记为M S,例如
SSA/(α-1),等等。诸因素效应的大小,用它的均方与误差均方的比值(记为F)的大小来衡量,例如,FA=M SA/M Se,反映因素 A的主效应对亩产的影响;FB=M SB/M Se反映因素B 的主效应对亩产的影响;
则反映 A与B交互效应对亩产的影响。综上结果,可以列成一个方差分析表(表
)。
前述例子的模型可写为
Yijk)=μ+αi+βj+γij+εijk), (3)
式中i=1,…,α;j=1,…,b;k=1,…,r;μ称总平均;αi、βj分别称品种(A)与肥料(B)的主效应,γij称A、B的交互效应,并且满足约束条件:
。εijk)是随机误差。这是一个以μ、αi、βj及γij(i=1,…,α;j=1,…,b)为参数的线性模型(见线性统计模型)。“品种无主效应”这个假设,可表为 HA:αi=0,i=1,…,α,这是一个线性假设。在随机误差εijk)独立、等方差及正态假定下,可用似然比(见假设检验)方法检验这个假设,所得检验统计量正是上表中的FA=M SA/M Se,它是自由度为ƒA与ƒe的F 统计量。类似地可检验
和
在检验假设被拒绝后,就有估计效应及对之排序等问题,解决这种问题的工具是线性模型的估计理论以及多重比较的方法。
上例是一个典型的两种方式分组的方差分析问题,所谓“两种方式”即指按品种和肥料两个因素将试验数据分成αb组。一般地有多种方式分组问题。上例中涉及的品种等都是特定的,因此模型(3)中的效应看作固定参数,故称固定效应模型。如果讨论“品种对产量的影响”这种抽象形式的问题,这时设想有一个无限品种的集合,试验中所涉及的α个品种,只是作为全体品种的代表从品种集合中随机抽出的,这时模型(3)中效应不能看成一个参数而应看作随机变量。若所有效应均为随机变量,则称随机效应模型。若模型中兼有固定和随机两种效应,则称混合效应模型。一般,随机效应模型的方差分析在形式上与固定效应大体一致,但在作F检验(见假设检验)时有一些差别。
方差分析的思想也用于回归分析的假设检验。若在方差分析模型中有未加控制的系统性因素出现,则得到协方差分析模型。如上例,根据在生长期间各试验地块虫害的轻重程度,施用不同量的农药,记X为农药用量,它可能是影响产量的系统因素,如模型中不加考虑,必将降低分析精度。考虑的方法是在模型 (3)中加进一项反映该因素影响的量δXijk),即
,
式中Xijk)为第i个品种、第j种肥料、第k个重复地块上的使用农药量。δ 为待估的回归系数。上述模型仍是一个线性模型,只不过模型中有连续取值的回归变量X和离散取值的方差变量A和B。因此,协方差分析可看成回归分析与方差分析的结合。
- 参考书目
- H.cheffe,The Analysis of variance,John Wiley & Sons,New York, 1959.