溶液pH的电位测定法

当一个 pH 指示电极(如玻璃电极)和一个参比电极插入被测溶液时,参比电极与指示电极间的电位差V决定于溶液的pH。25℃时两者的关系为:

Vb+0.0592pH

式中 b为常数。利用pH计(见彩图)

图 酸度计

测定溶液的pH时,要先用已知pH值的缓冲溶液校准仪器,这时的电位差VS为:

VSb+0.0592pHS

然后再测定未知溶液的pH:

Vub+0.0592pH

公式 符号

式中Vu为用未知溶液时产生的电位差, 此式表明溶液的pH是以标准缓冲溶液的pHS和电位差VS计算的。这是实际测定中使用的pH的定义。

图

标准缓冲溶液的pHS值的测定分三步:

(1)在被测的缓冲溶液中加入少许一定量的可溶性氯化物,在溶液中插入氢电极和银│氯化银电极,然后测定电池的电动势E

公式 符号

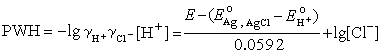
式中γ公式 符号γ扲 分别为 H+和 Cl-活度系数,公式 符号公式 符号为标准电极电位,令PWH为:

公式 符号

式中E公式 符号公式 符号、[Cl-]都可测定,所以PWH即可求得。

(2)当[Cl-]小于0.015Μ时,PWH对[Cl-]作图, 得一直线。在不同的[Cl-]值时求出PWH值,并以PWH值对[Cl-]作图,求出[Cl-]=0时的PWH值(以PWH0表示)则得:

公式 符号

(3)从德拜-休克尔公式计算公式 符号,在25℃时:

公式 符号

式中μ为离子强度。由公式 符号就可以求出pHS