[拼音]:dianliceng yuce
[外文]:ionospheric prediction
根据电离层特性参量随时间和空间的变化规律,对正常状态下的电离层的特性参量值作出的预先推断。
20世纪40年代初期,由于迫切需要改善短波通信的质量,开始研究适宜工作频率的选择方法。40年代中期,一些国家出版了预测电离层特性参量的电离层预测图。中国于40年代后期也出版了《短波无线电信应用频率之预测》。随着电离层垂直探测站的增加,电离层特性数据的大量积累,对电离层物理特性的深入研究以及计算机技术的发展,电离层预测方法不断得到改进,预测精度不断提高。由电离层预测给出的随时空变化的电离层特性参量,通信、广播部门可以求得所需的电波传播的路径,及在路径上可能使用的最高频率和最低频率、接收场强等。在电离层物理及电波传播研究中也常用到电离层预测。空间科学技术及通信的发展将对电离层预测不断提出更高的要求。
通常预测的电离层参量有:f0F1 (F1层的临界频率)、f0F2(F2层的临界频率)、f0E(E层的临界频率)、f0Es(Es层的极限频率)、fbEs(Es层的遮蔽频率)、h′F(F层的最低虚高)、h′F2(F2层的最低虚高)和M(3000) F2(F2层3000公里传输因子,即传输距离为3000公里时,F2层可以传播的最高频率与 F2层临界频率的比值)等。这些参量随地理位置、周日、季节、太阳活动11年周期等因素而有规律地变化(见电离层形态)。由于电离层的变化规律主要受太阳活动所控制,所以某地、某月份、某一小时的电离层特性参量,与历年相应月份表示太阳活动周期变化的指数存在一定关系。表示太阳活动周期变化的指数,最常用的是黑子相对数月平均值的12个月流动平均值R12(12个月流动平均为一种统计方法)。此外,用于预测电离层特性参量的11年周期性变化的指数,还有10.7厘米波长太阳射电噪声通量月平均值的12个月流动平均值φ12,和由分布地区较广的电离层垂直探测站的f0F推算出的IF2(F2层的一个指数)等。因此,可从长期、大量的观测数据先预测出未来某月的11年周期变化指数的值,再利用这些指数与电离层参量的相关关系,推算或预测出某地、某月、某小时的电离层特性参量。整个预测工作可借助电子计算机进行。
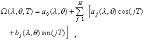
20世纪60年代,琼斯(W.B.Jones)等给出一个可求电离层任一特性参量的经验公式,但一般多用于预测F2层和Es层的各特性参量。若用Ω(λ,θ,T)来表示电离层某一特性参量,则对于一定太阳活动年份的某一月份,可以用地理纬度λ、地理经度 θ和世界时T的正交多项式来表示:
式中H为日变化谐振项的最大阶数。系数α和 b是纬度和经度的函数,定义为:
,
式中 Gk是λ、θ和修正磁倾角的三角函数。U是根据某一时间预测的太阳活动指数(如R12)等统计确定的一组常数。K值随特性参量的不同而不同。用这种方法计算出的F2层零公里最高可用频率等值线图,即相当于垂直探测电离层所得的F2层最高频率的等值线图,如图所示。
计算f0E一般常用1974年CCIR推荐的马格尔顿(L.M.Muggleton)给出的方法,它是根据指数═12来预测f0E的。计算f0F1则用1974年CCIR推荐的杜查姆(E.D.Ducharme)等给出的方法。