跨声速流动

流体在流场中速度接近声速的流动。通常把流场马赫数公式 符号在0.8~1.3(或0.75~1.2)范围内的流动作为跨声速流动。对于飞机等外形较为复杂的飞行器,当来流马赫数公式 符号在0.8~1.5 范围内,外流常出现许多跨声速流动的特点。

跨声速流动可分为外部绕流(如绕翼型、机身等的流动)和内部流动(如喷管、叶栅等处的流动)两个方面。跨声速流动的研究有广泛的应用价值,因为各种类型的飞行器,包括大型客机、运输机、战斗机、巡航导弹战术导弹的飞行,以及航天飞机返回地面时的飞行,大多在跨声速范围内;航空发动机中的叶栅流动,火箭发动机喷管的喉部流动以及各种气体流量计和截流阀中的流动常是跨声速流动。

研究简况

自从19世纪80年代拉瓦尔管问世和O.雷诺给出一维管流分析解以来,跨声速流动研究已有一百年历史,大致可分为三个阶段。从19世纪80年代到20世纪30年代末的60年为初期。在此期间,很多学者如С.А.恰普雷金、T.迈耶尔、F.G.特里科米、G.I.泰勒、格特等曾从事跨声速流动的研究。速度图法、级数法和小参量展开法等理论方法相继出现,并导出跨声速流动的简化方程。20世纪40年代初,由于飞机速度与日俱增,为解决声障问题,跨声速流动的研究发展很快。从40年代初到60年代中的25年间为中期。在此期间除了进一步充实初期的理论方法外,还先后提出了松弛法、跨声速相似律、条带积分法、积分方程法等,为后来的数值方法奠定了理论基础,起了承先启后的作用。60年代以来为近期,随着航空、航天事业的发展,为增加飞行器的承载能力、机动性能和有效航程,为提高喷管、叶栅的效率,要求尽可能利用跨声速流动的特点;同时,大型计算机和计算技术的发展,也促进了跨声速流动的研究。这一时期的主要工作是在前一时期的理论研究基础上寻找适当的差分格式和迭代方法,以便能在计算机上对复杂的问题进行数值计算。此外,还提出一些比较有效的计算方法,如通过引入时间变量,将跨声速流动的混合型方程转化为双曲方程,避免了求解混合型方程带来的困难。根据跨声速流场在亚声速区和超声速区内的不同特性,分别采用不同差分格式的混合差分法,对求解跨声速流动起了促进作用。有限元法也被用于计算跨声速流动问题(见跨声速流数值计算)。

近年来,为了提高飞行器的效率,节省能源,提出了跨声速超临界翼型问题。即要求设计来流马赫数超过临界马赫数后,翼面上仍不出现激波的翼型。由于理论与实际的密切配合,这一具有很大实际意义的课题终于得到解决。

为使跨声速流动的理论研究结果更符合实际,跨声速研究的重要发展趋势是着重研究马赫数更接近于1 的流动。这方面的理论和实验研究都存在许多困难。此外,目前的数值计算和实验研究都很难计算或模拟实际飞行中的高雷诺数情况。理论研究的结果与真实流动之间有较大差距,从而出现所谓跨声速高雷诺数问题。这些问题还有待解决。

特点

对于定常无旋位势流,亚声速时的控制方程是椭圆型偏微分方程,而超声速时的控制方程则是双曲型偏微分方程。跨声速流动的流场是既含有亚声速区域又含有超声速区域的混合型流场。亚声速区域和超声速区域的分界线是声速线。在求解以前,声速线的位置是未知的,需要求解混合型偏微分方程,这就给跨声速流动的理论分析和数值计算带来困难。

气流中任何一个小扰动通常都以当地声速向周围传播。在跨声速流动中大部分气流速度接近声速,与上述扰动传播的速度相近,因而扰动主要集中在与来流方向差不多互相垂直的方向上。因此,在风洞实验中,自模型表面产生的扰动会从风洞壁面直接反射到模型,甚至来回反射多次。这种严重的洞壁干扰给跨声速流的实验研究带来很大困难。

在跨声速流数值计算中,声速线的形状和位置是一个重要问题。来流马赫数愈接近于1,流场中流动接近声速的区域就愈大。流场中速度在数值上的微小差别都会引起声速线的位置和形状发生很大变化。声速线的变化直接影响到流场计算所采用的计算格式。声速线的计算略有偏差,会直接影响到计算结果。这就给跨声速流的数值计算带来许多困难。

两个主要参数

在跨声速流动研究中,反映流场特性的参数主要有两个:

(1)临界马赫数 均匀气流绕过物体时,随着来流速度逐渐增大,物面上开始有一个点流速达到声速,这时对应的来流马赫数称为该物体的临界马赫数,记为公式 符号。物体不同,临界马赫数也不同。若记来流马赫数为公式 符号,则称公式 符号<公式 符号的流动为亚临界流动,公式 符号>公式 符号的流动为超临界流动。

(2)流量系数 在拉瓦尔管流动中流量系数Cf定义为总流量与ρcS的比值,其中c为临界声速(对应于Μa=1时的声速);ρ为流速等于当地声速时的气体密度;S为喷管喉部截面面积。对于给定喷管,存在一个最大的流量系数,记为Cf0,它在喷管流动中是个重要参数。当Cf<Cf0时,喷管喉部截面两边都是亚声速流动,通常称为泰勒型喷管流动;当CfCf0时,气流在喷管喉部从亚声速流动转变成超声速流动,通常称为迈耶尔型喷管流动。

跨声速相似律

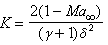
定常无粘性跨声速位势流,在小扰动的条件下可得到简化的但仍为非线性的小扰动方程和相应的边界条件(见空气动力学小扰动理论)。从方程和边界条件中可以看出,对于两个仿射相似的二维物体(无量纲物形方程相同),当无量纲组合参数公式 符号相等时,这两种流动相似,在对应点上无量纲物理量相等,物体的气动力参量也对应相等。式中公式 符号δγ分别为来流马赫数、物体相对厚度和气体比热比K称为相似参数。上述相似规律称为跨声速流动相似律。对于仿射相似的轴对称物体或有限翼展机翼,具有流动相似的相似参数分别为公式 符号公式 符号。根据研究对象不同,相似参数可有不同的组合形式。相似律提供了模型实验结果与实际流动之间如何比拟和换算的理论依据。在实验时,可根据相似律来确定各种实验参数和分析应用实验结果。