[拼音]:duli zengliang guocheng
[外文]:process with independent increment
在任何一组两两不相交区间上,其增量都相互独立的随机过程;又称为可加过程。如果记随机过程为 X={X(t),t∈T},则独立增量性意味着对任意正整数n及任意t0<t1<t2<…,ti∈T,增量 X(ti)-X(ti-1)(i=1,2,…,n)及X(t0)是相互独立的。独立增量过程是一类特殊的马尔可夫过程。泊松过程和布朗运动都是它的特例。
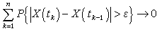
从一般的独立增量过程分离出本质上是独立随机变量序列的部分和以后,剩下的部分总是随机连续的。因此研究独立增量过程,通常可假定它是可分的且随机连续的。
对于可分且随机连续的独立增量过程X={X(t),t∈R+},几乎所有的(即概率为1的)样本函数没有第二类间断点。它在指定的区间[α,b]上,几乎所有的样本函数连续的充分必要条件是:任给 ε>0,当[α,b]的分割
的直径
时,
。
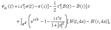
d维随机连续的独立增量过程X在区间(s,t]上的增量X(t)-X(s)服从d维的无穷可分分布(定义与一维情形一样,见中心极限定理),它的特征函数(见概率分布),记作φ寈(z),z∈Rd,有下列著名的莱维-辛钦公式:


式中z┡是向量z的转置;α(t)是取值于Rd中的连续函数;B(t)是连续地依赖于t的d阶非负定方阵;对固定的离原点距离大于0的d维波莱尔集A,N(·,A)是连续非降函数;对固定的t,N(t,·)作为Rd\{0}的波莱尔子集类上的集函数是可列可加的,且满足
。
α(t)、B(t)、N(t,A)均由过程X惟一决定。
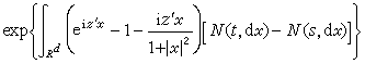
特征函数表达式的三个部分代表了增量的三个相互独立的部分:exp{iz┡[α(t)-α(s)]}相应于非随机部分的增量;exp{iz┡[B(t)-B(s)]z}相应于正态部分的增量;
相应于泊松型部分的增量。以d=1为例,不妨设初值X(0)=0。著名的莱维-伊藤分解定理指出:任一可分且随机连续的独立增量过程X={X(t),t∈R+}可以表示成一个实值(非随机)函数 α=α(t),一个样本连续的正态独立增量过程
与一个泊松型的独立增量过程
之和:
,其中
,且 Xc与Xd 独立。此外,独立增量过程X还有如下的性质:如果X(t)服从正态分布,则对一切s∈[0,t],X(s)也服从正态分布;如果X(t)服从泊松分布,则 X(s)也服从泊松分布,s∈[0,t]。
对一维的齐次独立增量过程,即d=1,且X(t)-X(s)的分布仅依赖于t-s的情形,莱维-辛钦公式化成
式中m和b≥0为常数,N(dx)是R\{0}的波莱尔子集类上的测度(见测度论),且满足
。特别,若X几乎所有的样本函数连续且其均值函数为0,则它是布朗运动,X(t)-X(s)服从均值为零、方差为b(t-s)的正态分布,这种情形对应于上式中m=0,且N(A)呏0对一切R 的波莱尔子集A成立。若X几乎所有的样本函数是跃度为1的阶梯函数,则它是齐次泊松过程,X(t)-X(s)服从参数为 λ(t-s)的泊松分布,这种情形对应于上式中m =λ/2,b=0,而与N(dx)对应的增函数N(x)为
- 参考书目
- D. Freedman,Brownian Motion and Diffusion,Springer-Verlag, Berlin, 1983.
- I.I.Gihman and,A.V.Skorohod,The Theory of Stochastic Processes,Springer-Verlag. Berlin,1975.