[拼音]:guangyi jiexi hanshu
[外文]:generalized analytic function
推广了的解析函数。设复变函数ƒ(z)=φ(z)+iψ(z)在区域D(不含点∞)内每一点z均有微商,即ƒ(z)在D内是解析的,将它的实部φ(z)的系数1与虚部ψ(z)的系数i分别代以两个在D内连续可微函数F(z)、G(z),并要求这两个函数满足条件:
。 (1)
特别当F(z)=1,G(z)=i时,上式也成立。L.伯斯把F(z)、G(z)称为生成对,由它们得到函数
w(z)=F(z)φ(z)+G(z)ψ(z)。 (2)
如果在D内的任一点z,极限
(3)
存在,就称函数w(z)按生成对(F(z),G(z))在点z有微商夵(z),并称w(z)在D内是准解析的。
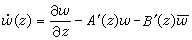
引入函数w(z)对墫与z的形式偏微商,即
,
, (4)
易知
,
。可以证明:在点z,(3)式中的极限夵(z)存在的充分必要条件是:在点z,等式
(5)
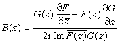
成立,式中

。
在上述条件下,有
。
式中A′(z)、B′(z)都是z的已知函数。并且还可证:函数ƒ(z)=φ(z)+iψ(z)在点z满足
。 (6)
由式(1),可导出|q(z)|≤q0≤1,这里q0是实常数。方程(6)在区域D内的单叶解ƒ(z)作成一个拟共形映射。И.H.韦夸把在区域D内满足复方程(5)的解w(z)称为广义解析函数。伯斯则把这种函数称为第一类准解析函数,而把ƒ(z)=φ(z)+iψ(z)即在D内满足复方程(6)的解称为第二类准解析函数。这两类准解析函数有着不同的性质,如对区域D内不是常数的第二类准解析函数ƒ(z),保持区域定理是成立的,即ƒ(z)把区域D变换到一个区域,而对于D 内的第一类准解析函数,保持区域定理不一定成立。特别,当F(z)=1,G(z)=i时,则式(5)中的A(z)=B(z)=0,又式(6)中的q(z)=0,此时w(z)=ƒ(z)=φ(z)+iψ(z)在区域D内满足
设w(z)是区域D内的广义解析函数,则必存在一个解析函数ƒ(z)与在哹上连续的函数s(z),使得
。 (7)
反之,设ƒ(z)是区域D内的一个解析函数,则必存在于哹上连续的函数s(z),使得由(7)式所确定的函数w(z)是D内的广义解析函数。这表明了广义解析函数与解析函数间的互相对应关系,因此上述定理叫作相似原理。
有了相似原理,使得关于解析函数的许多性质,可以转移到广义解析函数,如积分与级数理论、孤立奇点的分类、惟一开拓性、函数序列的凝聚原理、龙格逼近定理等。对于全平面E,以及任一个幂函数α(z-z0)n,z0和α为一复常数,n是任一整数,按照相似原理,必存在一个广义解析函数w(z),它相似于α(z-z0)n,且当z→z0时,
,又当 z→∞ 时,w(z)z_n有界,并用Z(n)(α,z0,z)表示w(z),称为形式幂。使用形式幂,可以给出广义解析函数的柯西积分公式:设D是由一条光滑的若尔当闭曲线Γ 所围的有界区域,又w(z)是D 内的广义解析函数,且直到边界Γ 连续,则有
设w(z)是在圆环D:0<|z-z0|< R上的一个广义解析函数,那么w(z)在D内具有如下的展开式
,
它在
内收敛。当n<0时,若系数αn中有无限个不等于零,则z0是w(z)的本性奇点,若系数αn中仅有有限多个不等于零,则z0是w(z)的极点,若系数αn均等于零,则z0是w(z)的可去奇点。
解析函数的实部与虚部在区域D内满足柯西-黎曼方程组,而广义解析函数w(z)=u(z)+iv(z)的实部u(z)与虚部υ(z)在区域D内满足较一般的偏微分方程组:
(8)
此处α、b、с、d都是z(∈D)的函数。将以上方程组写成复形式(5),有
,
。对于平面区域上具有两个未知实函数的一阶线性一致椭圆型方程组,当它们满足一定的条件时,均可转化为标准型方程组(8)及其复方程(5)。这样,一般的一阶线性一致椭圆型方程组的性质与边值问题的讨论往往也可转化到复方程 (5)上来。类似于解析函数,对于复方程(5),也有相应的希尔伯特边值问题、黎曼边值问题等。这些边值问题在力学、物理等方面都有所反映。关于广义解析函数论,伯斯、韦夸、Γ.Η.波洛日、Б.Β.博亚尔斯基等做了大量的研究工作。