[拼音]:jiedian chiyu
[外文]:dielectric relaxation
在均匀外电场E中偶极矩为μ的极性分子的势能为:
式中 θ为偶极矩和电场强度之间的夹角。当加上外电场时,偶极矩将转向与电场平行的方向以降低势能,而热运动使分子的平衡取向服从玻耳兹曼分布。当取消外电场时,介质分子将恢复到平均偶极矩为零的紊乱取向状态,该过程由于分子本身的惯性和介质的粘滞性需要一定时间才能完成,称为介电弛豫。
在恒定的外电场中,原来平均偶极矩为零的介质的单位体积上感生出正比于有效电场强度的平均偶极矩 P(通常称为极化强度矢量):
式中ε0为真空介电常数;N为单位体积中分子的数目;α称为分子极化率;μ 为分子的永久偶极矩值;k 为玻耳兹曼常数;T 为热力学温度。极化强度矢量中的第一项Pα呏ε0NαE是由于外电场使分子中电子密度和原子核构型变形产生的。第二项
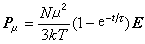
则是由于极性分子的永久偶极矩在外电场中的转向作用贡献的,当突然加上恒定的外电场时,Pμ按下式趋向它的平衡值:
式中t为时间变量;τ为弛豫时间常数。
当外加的是交变电场时,极性分子将随电场作交变的取向运动。交变电场频率在1010赫以下时,这种转向运动跟得上电场的变化速度,极化强度矢量 P与频率无关。当交变电场在1012赫以上时,偶极矩的转向运动将完全跟不上电场的变化,Pμ对极化强度矢量没有贡献,P =Pα。在1010~1012赫的区间内,当交变电场的周期接近或超过分子的弛豫时间常数时,极化强度矢量将迅速降低。根据克劳修斯-莫索提-德拜方程式可知,介电常数也将随之降低(见偶极矩)。因此,通过观察极化强度矢量和介电常数随频率的变化,可以确定分子取向运动的速度,这正是介电弛豫方法的根据。