拉格朗日方程

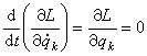
完整系统(见约束)用广义坐标表示的动力学普遍方程。它是J.L.拉格朗日在1788年所得到的。其典型表示式为

(1)

式中T是系统的动能,它必须用N个广义坐标qj(j=1,2,…,N)和N个广义速度来表示;Qj是对应于广义坐标qj广义力

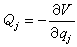
对于保守系统还存在着势函数V(q1q2,…,qN),因为有,所以令L=T-V后,式(1)即为

式中 称为拉格朗日函数或称为动势。L的量纲同能量,即L2MT-2

从式 (2)中可以求出下面两种特殊情况下的一次积分:

(1)广义动量积分。如果在动势L的表示式中不包含属于系统的广义坐标qk,这种坐标称为循环坐标或称可遗坐标。根据这个定义,有,于是由拉格朗日方程 (2)则有。积分上式得。=常量。称为对应于广义坐标qk的广义动量,用pk表示,是常量,于是对应于循环坐标的广义动量是守恒的。

(2)广义能量积分。亦称雅可比积分。当一个完整系统的动势L不显含时间t时,即可求得雅可比积分

T2-T0+V=H常量, (3)

式中T2表示动能T用广义速度和广义坐标表示时,对于T中含广义速度的二次齐次式的部分;T0表示T中不含广义速度的部分;V是势函数。

当一个完整系统的约束方程都不显含时间t时,这种系统称为自然系统。对这样的系统,动能是广义速度的二次齐次式,即T=T2。这样,雅可比积分化为能量积分:T+V=H。所以称式(3)为广义能量积分。

拉格朗日方程有下列特点:

(1)拉格朗日方程是用广义坐标表示的,对于实际力学问题可根据问题的特点选取适宜的广义坐标来建立动力学方程,从而便于求解。

(2)对于具有n个质点和h个有限约束的完整系统,拉格朗日方程有N=3n-h个二阶微分方程。但是用直角坐标表示的牛顿方程有3n个二阶微分方程,连h个有限约束方程,共有3n+h个方程。二者比较,拉格朗日方程较便于求解。

(3)应用拉格朗日方程可导出力学中的变分原理──哈密顿原理,和另一组重要的运动微分方程──哈密顿正则方程