[拼音]:keyi zuobiao
[外文]:ignorable coordinates
又称循环坐标,是在拉格朗日函数L中不出现或在哈密顿函数 H中不出现的广义坐标。例如在有心力作用下的质点运动,用球坐标(r,嗞,θ)表达的拉格朗日函数为:
,
式中T为质点的动能;V为势函数;m为质点的质量;f(r)为有心力。上式中不出现广义坐标嗞,因而嗞是这个系统的一个可遗坐标。如果一系统有某个可遗坐标qi,则有:
。
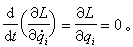
此时由系统的拉格朗日方程得到:
因此,该系统有经典的守恒律:与可遗坐标qi相应的广义动量守恒,即
。
这是系统拉格朗日方程的一个第一积分,称为循环积分。1876年E.J.劳思应用循环积分,研究出将拉格朗日方程降阶的方法。N个自由度的完整系统,如果有s个可遗坐标,则原2N 阶的微分方程可降低为2(N-s)阶,而仍保持拉格朗日的形式。
对于哈密顿正则系统,如果qi是可遗坐标,根据正则方程,得到与qi对应的广义动量pi为常数。利用正则变换可把哈密顿系统尽可能多的广义坐标变换成可遗坐标。对于这样的坐标,哈密顿-雅可比方程的全积分的形式比较简单,其中包含着可遗坐标的一次式。如果选择正则变换,使变换后的哈密顿函数恒等于零,则变换后的全部广义坐标都是可遗坐标,此时系统极易求解。按这种考虑所得到的方法就是哈密顿-雅可比方法。
- 参考书目
- E. T. Whittaker, A Treatise on the Analytical Dynamicsof Particles and Rigid Bodies, 4th ed., Cambridge Univ.Press,Cambridge,1952.
- W.M.Smart, Celestial Mechanics, John Wiley & Sons,Glasgow,1953.