群体凝聚力

群体对其成员的吸引力,包括群体成员之间的相互吸引力,以及群体成员对群体的满意程度。在苏联也称凝聚力为团结性。最初研究群体凝聚力是从W.麦独孤(1908)称之为“聚集”的本能开始的;大规模研究则始于20世纪40年代K.勒温人类群体的研究。与早期研究相对照,现代研究倾向于把凝聚力作为一个变量,并集中在两类问题上:一是各种程度的凝聚力对群体行为所产生的影响;二是决定群体凝聚力大小的因素。西方社会心理学家常常直接研究群体成员之间的相互作用和感情,强调凝聚力的情感成分。如美国社会心理学家L.费斯廷格运用群体中出现的沟通频率和强度来分析群体凝聚力。苏联社会心理学家的研究则侧重在群体的共同活动上,强调凝聚力的认知因素,并把建立在共同活动过程基础之上的群体团结性看作是群体凝聚力。

群体凝聚力的测量

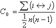
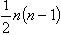
测量群体凝聚力高低的心理学方法有几种。一种是让群众中的每一成员对其归属感或整个群体作出评价。最流行的评定凝聚力的方法是运用社会测量问卷测定一个群体内部的友谊模式和强度。费斯廷格、S.沙赫特和K.巴克1950年曾以此方法进行评价群体凝聚力的研究。在其他一些研究中也提出诸如“你认为群体应该多长时间聚集一次”之类的问题。M.多伊奇曾提出一个计算凝聚力的公式,可以用于实际测定:

公式 符号

即群体凝聚力指数

公式 符号

式中公式 符号为群体成员相互选择数目之和;公式 符号为相互选择的所有可能数目之和;n为群体成员数。

影响群体凝聚力的因素

有关研究表明,群体凝聚力的高低受多种因素的影响,概括起来主要有以下几种:

(1)群体的领导方式:勒温等人的经典实验比较了在“民主”、“专制”和“放任”这 3种领导方式下各实验小组的凝聚力和群体气氛。结果发现民主型领导方式组比其他组成员之间更友爱,成员相互情感更积极,思想更活跃,凝聚力更高。

(2)外部的影响:外来的威胁会增强群体成员间的价值观念,从而提高群体的凝聚力。如群体间的竞争会使群体增强凝聚力。

(3)成员间的共同性:如果群体成员具有共同的目标、利益、兴趣和爱好以及愿望等,则群体的凝聚力高。

(4)成员对群体的依赖:成员在满足需要上对群体的依赖性越大,则群体对其吸引力也越强。

(5)群体内部的奖励方式和目标结构:不同的奖励方式影响群体成员的情感和期望。个人与群体相结合的奖励方式有利于增强群体的凝聚力。群体成员的任务目标有机地结合,可以增强集体观念和群体凝聚力。

(6)其他因素:信息的沟通方式不同,对群体成员的满意感、士气和群体凝聚力的影响也不同。群体成员的个体特征、兴趣和思想水平也影响群体的凝聚力。

对群体行为的影响

一个好的群体,其凝聚力一定高,从而会有很高的士气,明确的动机和坚强的抗干扰的力量。群体成员彼此的吸引力越大,则群体对成员的吸引力也越大,群体凝聚力就越高,增进成员之间的活动和交往,有助于增加群体的凝聚力。群体规模的大小与凝聚力通常成反比,规模小的群体比规模大的群体更容易产生凝聚力。群体成员对群体的忠诚、责任感,对外来攻击的防御,群体成员之间的友谊,承担群体的任务等都可以表明群体凝聚力的高或低。凝聚力有利于群体任务的完成。有高度凝聚力的群体比缺乏凝聚力的群体工作效率要高。

社会心理学家沙赫特在严格控制的条件下检验群体凝聚力和对群体成员的诱导对生产效率的影响,发现无论凝聚力高低,积极诱导都提高了生产效率,而且高凝聚力组生产效率更高;消极诱导则明显降低了生产效率,高凝聚力组的生产效率更低。高凝聚力条件比低凝聚力条件更易受诱导因素的影响。这说明群体凝聚力越高,其成员就越遵循群体的规范和目标。群体规范是决定群体凝聚力与生产效率关系的一个重要因素。然而,并不是任何凝聚力都有利于提高生产效率。组织内的小群体目标与组织目标可能不一致。只有在群体目标与组织目标一致时,增强凝聚力才有利于提高生产效率。反之,群体目标与组织目标背道而驰,则高凝聚力反而会使生产效率下降。