[拼音]:sanjuqing’an jiaquan shuzhi
[外文]:melamine-formaldehyde resin
简称MF树脂,又称蜜胺甲醛树脂。为三聚氰胺M与甲醛 F缩合聚合而成的热固性树脂。习惯上常把它和脲醛树脂统称为氨基树脂。MF树脂在1939年投入生产,1980年世界产量为30万吨左右。
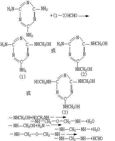
聚合原料为三聚氰胺(2,4,6-三氨基-1,3,5-三嗪)和甲醛,后者常使用37%水溶液,即福尔马林,因M中含有三个活泼氨基,所以随两种原料摩尔比的不同,生成不同数目的N-羟甲基取代物。按理论计算,1摩尔M可与多至 6摩尔F作用,生成六个羟甲基的取代物。但工业上一般采用F/M=2~3,以避免最终产物中含有过多的亚甲基醚键。合成反应如下:
根据不同的反应情况得到不同分子量的树脂,从用作织物浆料的水溶性树脂和难溶于水的可作模塑粉用的树脂,以至不溶、不熔的固化树脂。上述体系当 F/M的摩尔比增大,温度上升,pH值下降时,则反应速率增快,而pH值的变化对反应速率影响尤甚。
由上述反应制得的树脂溶液贮存期很短,在数天内即形成凝胶,所以工业上常用喷雾干燥法制成粉状固体,隔绝空气以延长其贮存期。MF树脂加热至130~150℃即可固化,成为网状结构的不溶、不熔固体。加入少量酸催化剂,则可提高其固化速率。MF树脂不能在室温固化,在低于50℃时即使采用强酸催化剂,固化仍非常慢,与脲醛树脂可在室温下固化不同。
性质和应用工业上用的MF树脂中固体含量为60%,粘度为150厘泊。固化后的树脂在沸水中稳定,甚至可在150℃时使用,且具有自熄性、抗电弧性和良好的力学性能。固化后的制品无色透明,因而特别适于制化妆板、餐具等。MF模塑粉可模压成塑料制品;MF树脂与脲醛树脂混合,可配制成胶粘剂,用于制造层压板材料;用丁醇改性的MF树脂,可用作涂料,经加热到 150℃焙烘后,成为透明坚硬的漆膜。