[拼音]:liushu
[外文]:residue
又称残数,复变函数论中一个重要的概念。解析函数 ƒ(z)在孤立奇点z =α处的洛朗展开式 (见洛朗级数)
中,(z-α)-1项的系数с-1称为ƒ(z)在z =α处的留数,记作
或Resƒ(α)。它等于
,式中Г是以α为中心的充分小的圆周。
留数的概念最早由 A.-L.柯西于1825年提出。由于对函数的洛朗展开式进行积分时只留下一项(z-α)-1,因此称为留数。它在很多问题上都有重要应用,如定积分计算,函数零点与极点个数的计算,将亚纯函数展开为部分分式,将整函数展开为无穷乘积,稳定性理论,渐近估计等。
设函数ƒ(z)以z =α为n级极点,则
当n=1时,就有
特别地,当
式中φ(z)和ψ(z)都在 z=α处解析,ψ(z)以z =α为一级零点,φ(α)≠0,则
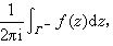
留数定理
设函数 ƒ(z)在区域G内除了孤立奇点外解析,у是G内不经过ƒ(z)的孤立奇点的闭若尔当可求长曲线,则
式中{αk}(1≤k≤N)是у内的全部孤立奇点。
设函数ƒ(z)以z=∞为孤立奇点,则它在z=∞处洛朗展开式中
项的系数с-1加上负号-с-1,称为ƒ(z)在 z=∞处的留数,记作
或Resƒ(∞),它等于
式中Г -是中心在原点、半径充分大的圆周,且沿顺时针方向绕行。
由留数定理可以证明,函数ƒ(z)在扩充平面上若只有孤立奇点,则所有留数(包括在z=∞处的留数)之和为零。
应用留数定理可以计算一些定积分,如
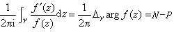
辐角原理
设函数 ƒ(z)在单连通区域G内是亚纯函数,γ是G 内不经过ƒ(z)的零点与极点的若尔当可求长闭曲线,则
,
式中Δγ argƒ(z)表示当 z在γ上按逆时针方向绕行一周时,函数ƒ(z)的辐角改变量,N 与P 分别表示在у内的零点个数及极点个数且计入其重点的个数。
特别地,当函数ƒ(z)在G内解析,就可以求得γ内零点个数N。由此可知,若n次多项式Pn(z)在虚轴上没有根,则其全部根都在左半平面的充要条件是
式中lR是右半平面上以原点为中心,半径为R 按逆时针方向绕行的半个圆周。这个结果在研究常系数线性微分方程的解的稳定性时有用。应用辐角原理可以知道,解析函数必将区域变为区域,区域内单叶解析函数的导数处处不为零,且其反函数仍是单叶解析函数,还可研究解析函数序列的零点个数与其极限函数零点个数之间的关系等等。
鲁歇定理设函数ƒ(z)与g(z)在单连通区域G内解析,γ是G内若尔当闭曲线,若在γ上|ƒ(z)|>|g(z)|,则函数 ƒ(z)+g(z)与ƒ(z)在γ内的零点个数相同。这个定理在计算某个函数在γ内有几个零点时很有用。