[拼音]:tezhengxianfa
[外文]:method of characteristics
一种基于特征理论的求解双曲型偏微分方程组的近似方法。它产生较早,19世纪末已经有效地为人们所使用。电子计算机出现以后,又得到了进一步的发展,并在一维不定常流和二维定常流等问题中得到了广泛的应用。
考虑两个自变量的一阶拟线性方程组
(1)
式中U、F为n维向量,A为n×n阶矩阵。如果矩阵A有n个实的特征值,且有n个线性无关的左特征向量,即存在可逆矩阵
和实对角矩阵
使
则称方程组(1)为双曲型的,其中λi(i=1,2,…,n)为矩阵A的特征值。此时(1)可改写成
(2)
如果用uj、ƒj表示U、F的元素,那么(2)可改写成
(3)
引入方向τj:
,于是有
。
可见,(3)的第i个方程中只包含函数u1,u2,…,un在方向τj上的方向导数。因此,它是由方程
(4)
所确定的曲线上的函数值之间的一个关系式。也就是说,(4)所确定的曲线上的函数值是不能任意给定的,必须满足方程(3)中的第i个方程。通常称该曲线为第 i族特征线,而称(3)中的第i个方程为第i族特征线上的相容关系。利用特征线 (4)上的相容关系(3)来求方程(1)的解的方法叫特征线法。
下面以n=2情况为例来说明此种方法。设在两个邻近的点Q1和Q2上已知函数值相应为(u嶛,u嶜)和(u嶡,u
),并设过Q1的第一族特征线与过Q2的第二族特征线相交于Q3(图1
)。此时,可用如下的方法来近似地求出点Q3的位置和其上的函数值。
第一族特征线的方程是
,故点Q1的坐标(x(1),t(1))和点Q3的坐标(x(3),t(3))之间有如下的近似关系:
(5)
和上面一样,上标(j)表示它是点Qj上该量的值。类似地,在点Q2的坐标(x(2),t(2))和Q3的坐标(x(3),t(3))之间有如下的近似关系:
(6)
从方程(5)和(6)可解得点Q3的坐标的近似值。
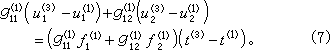
另外,根据(3)在第一族特征线上函数值之间有关系
点Q1和Q3处的函数值之间近似地有如下的关系式:
类似地,在第二族特征线
上有关系式
从方程(7)与(8)可解得点Q3上的函数的近似值。
如果在一条处处不与特征线相切的“空向”曲线段AB上给定初值,那么用上面所叙的方法可以求出由过点A的第一族特征线和过点B的第二族特征线所围的区域内各点上的值(图2
)。
如果(5)和(7)中的系数和右端项改成Q1和Q3上相应量的平均值,把(6)和(8)中的系数和右端项改成Q2和Q3上相应量的平均值,那么可以把计算结果从一阶精度提高到二阶精度。
上面叙述的特征线法是用特征线作网格的,其特点是物理图像比较清楚,但网格显得不大规则。也可以用x-t平面上的规则网格,相应的方法称为特征-差分方法,其特点是采用矩形网格,但不像通常的有限差分方法那样直接利用方程 (1)而是利用特征线上的相容关系来确定各网点上的函数值。
特征线法已被推广到多维的情形。对三维情形,已提出的方法有四面体特征法、五面体特征法、参考面特征法等。