薄板理论

研究薄板在垂直于板平面的载荷作用下,或在垂直载荷与板平面内载荷的共同作用下的弯曲变形和内力的理论。 薄板是指厚度(t)远小于长度和宽度的物体(图1)。薄板理论包括:根据有关变形假设,建立板弯曲后中面的挠度微分方程,并利用边界条件求解,得出板中面的弯曲面,进而算出板的内力分量,如弯矩、扭矩、剪力,等等。

图 微分方程

薄板理论是一个近似理论。薄板挠度微分方程是以下面三个假设为基础的:

(1)原垂直于板中面的线段仍垂直于变形后的中面;

(2)垂直于中面的正应力(见应力)远小于平行于中面的应力分量,故可以忽略;

(3)在垂直于板中面的载荷作用下发生弯曲时,板中面不受拉伸。其中①和③称为基尔霍夫假设。根据这些假设导出的微分方程适用于小挠度情况,即挠度和板厚度相比为一小量。

在垂直于板中面的分布载荷作用下(图 1),薄板挠度的微分方程为:

公式 符号

式中p(xy)为垂直于板面的分布载荷;ω为载荷作用下板中面各点沿z方向的位移(即挠度);公式 符号为板的弯曲刚度,E为板材料的弹性模量,v泊松比(见材料的力学性能);t为板厚。

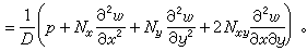
如果在板的中面内还有张力NxNy和剪力Nxy(图2),

图

则微分方程为:

公式 符号 公式 符号

如果薄板被弹性地基支承,根据温克勒假设,即地基的反作用力和沉陷深度成正比,则有:

公式 符号

式中k为地基的弹性模量。

对于正交各向异性板,弯曲面的微分方程为:

公式 符号

式中的DxHDy均为正交各向异性板的有关常数。

上述方程通过坐标变换还可写成其他形式,以便求解其他形状的板。例如通过极坐标变换,可得到求解各向同性圆板弯曲面的微分方程如下:

公式 符号

公式 符号

边界条件

对不同的边界情况,边界条件有所不同:

(1)固定边 沿边缘各点的挠度和斜度均为零。在直角坐标系中,若xa为固定边,则

公式 符号

(2)简支边 沿简支边各点的挠度和弯矩Μ均为零。若xa为简支边,则

公式 符号

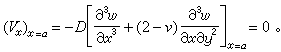
(3)自由边 沿自由边各点的弯矩和剪力-v 为零。若xa为自由边,则

公式 符号

公式 符号

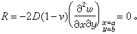
(4)自由角点 若x=ay=B是一个自由角点,则角点的反力R为零,即

公式 符号 求解

有两种途径,一是求出既满足微分方程又满足边界条件的精确解(如莱维法,纳维法);二是当得不到精确解时,采用各种近似方法求解,例如有限元法、有限差分方法等数值方法和能量方法。出于工程实际的需要,人们对矩形板和圆板的研究较多。

参考书目
  1. 张福范著:《弹性薄板》,科学出版社,北京,1965年。