[拼音]:shengtaiwei
[外文]:niche,ecological
物种在生物群落中的地位和作用。英文niche一词源自拉丁文nidus,意为巢,后引伸为龛,指墙壁上安放雕像的凹陷处,故曾译为“生态龛”或“小生境”,但后者与microhabitat(小生境)的译名相混。生态位通常是就物种而言,有时虽以个体为对象,也多是将其看作该物种的代表。不过也有人把生态位视为生境的同义词。
词义演变1910年,美国学者R.H.约翰逊第一次在生态学论述中使用生态位一词。1917年,J.格林内尔的《加州鸫的生态位关系》一文使该名词流传开来,但他当时所注意的是物种区系,所以侧重从生物分布的角度解释生态位概念,后人称之为空间生态位。1927年,C.埃尔顿著《动物生态学》一书,首次把生态位概念的重点转到生物群落上来。他认为:“一个动物的生态位是指它在生物环境中的地位,指它与食物和天敌的关系。”所以,埃尔顿强调的是功能生态位。
1957年,G.E.哈钦森建议用数学语言、用抽象空间来描绘生态位。例如,一个物种只能在一定的温度、湿度范围内生活,摄取食物的大小也常有一定限度,如果把温度、湿度和食物大小3个因子作为参数,这个物种的生态位就可以描绘在一个三维空间内;如果再添加其他生态因子,就得增加坐标轴,改三维空间为多维空间,所划定的多维体就可以看作生态位的抽象描绘,他称之为基本生态位。但在自然界中,因为各物种相互竞争,每一物种只能占据基本生态位的一部分,他称这部分为实际生态位。
后来R.H.惠特克等人建议:在生态位多维体的每一点上,还可累加一个表示物种反应的数量,如种群密度、资源利用情况等。于是,可以想象在多维体空间内弥漫着一片云雾,其各点的浓淡表示累加的数量,这样就进一步描绘了多维体内各点的情况。此外再增加一个时间轴,还可以把瞬时生态位转变为连续生态位,使不同时间内采用相同资源的两物种,在同一多维空间中各占不同的多维体;如果进一步把竞争的其他物种都纳入多维空间坐标系统,所得结果便相当于哈钦森的实际生态位。
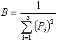
生态位宽度用多维空间描述生态位有助于概念的精确化。但实际工作中只能对少数几个,通常只是一两个生态因子作定量分析。生态位宽度是就一个生态因子轴而言的。这方面实验较多的是动物的竞争取食,以食物种类或体积大小为变量。设某物种在s种食物资源中取食,取每种食物的个体数分别为N1…Ni…Ns,则
表示取食第 i种食物的个体数在总数中的比例。R.莱文斯提出的计算生态位宽度B的公式是:
简单举例:设置装有不同食物的食槽s个,使一种动物取食,统计每槽取食的个体数。一种极端情况是,每槽个体数相等,表明该物种在所测范围内占有最宽的生态位,此时B值最大;另一种极端情况是,所有个体都在同一食槽取食,表明该物种在所测范围内占有最窄的生态位,此时B值最小。自然,这里测的是种群的综合效果。各个个体取食范围可能都很广(称泛化取食者),也可能都很窄(称特化取食者),但可因各特化取食者分别采取不同食物,所以它们的综合效果仍很广。但绝大多数情况介乎两者之间。
一般说来,当主要食物缺乏时,动物会扩大取食种类,食性趋向泛化,生态位加宽;当食物丰富时,取食种类又可能缩小,食性趋向特化,生态位变窄。
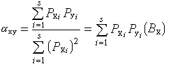
生态位重叠生物群落中,多个物种取食相同食物的现象就是生态位重叠的一种表现,由此造成物种间的竞争,而食物缺乏时竞争加剧。R.莱文斯采用沃尔泰拉种群竞争公式中的竞争系数α表示重叠程度(见种群动态模型),用公式:
表示物种x对物种y的生态位重叠。以y的生态位宽度(By)代式中的(Bx),则得物种y对物种x的生态位重叠。公式表明:重叠程度取决于x和y取用同一食物的几率及生态位宽度。因为多数物种生态位宽度不等,所以重叠对两物种的影响也不相等,即可能
(见图)。
生态位重叠与物种竞争密切相关,因此生态位概念是竞争排除原理的重要根据。