[拼音]:shuzhi bijin
[外文]:numerical approximation
泛指数学计算问题的近似解法。狭义的理解则专指对函数的逼近,即对于给定的较广泛的函数类F中的函数ƒ=ƒ(x),从较小的子类H中寻求在某种意义下ƒ的一个近似函数h(x),以便于计算和处理。∏.Л.切比雪夫和K.(T.W.)外尔斯特拉斯曾于19世纪中后期做了奠基性工作。函数逼近的主要内容有,对于某些特定的被逼近函数类F与逼近函数类H,讨论逼近的可能性,最佳逼近的存在性、特征、惟一性、误差估计以及算法等。它是现代数值分析的基本组成部分,除自身具有独立学科分支的意义外,还可用于构造数值积分、求函数零点、解微分方程和积分方程的近似方法。
设被逼近函数ƒ(x)∈C[α,b],逼近函数类记作H嶅C[α,b],定义两个函数ƒ与g之间的距离为
式中ω(x)>0为取定的权函数。当p=∞时,通常取ω(x)呏1,此时⑴简化为
这种度量下的逼近称为一致逼近;另一种重要情形是p=2的度量,称为均方逼近或平方逼近。
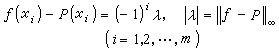
最佳逼近若h(x)∈H 满足
则称h为距离度量(1)的意义下ƒ 在H 中的最佳逼近。对于p=2和∞,相应的h分别称为ƒ 在H 中的最佳平方逼近和最佳一致逼近,后一种情形又称切比雪夫逼近或极小极大逼近,它是由切比雪夫在1854年首先开始研究的。
多项式逼近指H 取作多项式类的情形。关于用多项式一致逼近连续函数到任意精度的可能性问题,外尔斯特拉斯于 1885 年以定理的形式给出肯定的答案:若ƒ(x)∈C[α,b],则对于任何ε>0,都存在代数多项式p(x),使‖ƒ-p‖∞<ε。关于用三角多项式一致逼近周期连续函数到任意精度的可能性问题,他也给出平行的结果。该定理本身及其各种不同的证明和推广对逼近论的研究和发展有重要的影响。
最佳一致多项式逼近取H =Hn为次数不大于n的多项式集合。若p(x)∈Hn满足
(2)
则称p 为ƒ 的次数不大于 n的最佳一致多项式逼近,称En(ƒ)为极小极大偏差。这样的多项式p是存在和惟一的。它的特征可表述为如下的交错定理:设ƒ(x)∈C[α,b],则p(x)满足(2)当且仅当[α,b]上存在一组分点(称为偏差点组或交错点组)
,
使得
成立。这个定理除了理论上的意义外,还是构造最佳一致多项式逼近算法的依据。
列梅兹算法以交错定理为基础的寻求最佳一致多项式逼近的一种典型方法。主要步骤如下:
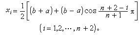
(1)选取初始偏差点组
通常取作[α,b]上n+1次切比雪夫多项式的极值点,即
(2)解关于α0,α1,…,αn和en的线性代数方程组
求得逼近多项式
和在偏差点组上均衡了的偏差量|en|。
(3)在[α,b)]上求一点x
使|ƒ(x
)-p(x
)|=‖ƒ-p‖∞。
(4)若|en|=‖ƒ-p‖∞,则p(x)已是最佳;否则以x
替换某个与之邻近的xj使 ƒ(x
)-p(x
)与ƒ(xj)-p(xj)同号,然后回到②重新开始。当α≤x
<x1且ƒ(x
)-p(x
)与ƒ(x1)-p(x1)异号时,则保留x1而去掉xn+2并将诸偏差点按序重新编号。对于出现在右端的这种情形亦做类似处理。经过若干次循环即可得到足够精确的结果。
指极小极大偏差En(ƒ)当n增长时的下降速度,它与被逼近函数的光滑性质有着内在的联系。D.杰克森于1911年做了开创性研究。以
表示函数g(x)的连续模,LipM(α)表示所有满足条件
的函数g(x)的集合,E奱(ƒ)表示周期为2π的连续函数ƒ用次数不大于n 的最佳一致三角多项式逼近的极小极大偏差。杰克森的基本结果可表述如下:
若ƒ∈C2π,则
,
当ƒ∈LipM α(0<α ≤1)时,有
;
若ƒ∈C[α,b],则
,
当ƒ∈LipM α(0<α≤1)时,有
,
式中A为绝对常数。
从相反方向的研究,即从序列{E奱(ƒ)}或{En(ƒ)}的递减速度来推断ƒ的光滑性质,是С.Η.伯恩斯坦1912年的工作。他的结果几乎就是杰克森定理的逆定理,只是α=1的情形稍有差别。
平方逼近采用p=2时的距离度量(1),被逼近函数ƒ可以属于比连续函数类C[α,b]更广的函数类,即所有使
存在的ƒ 之集合,记作L嵣[α,b]。定义L嵣中两个函数ƒ 与g 的内积为
。
当(ƒ,g)=0时,则称ƒ 与g 正交。设φ0,φ1,…,φn为L嵣中一组线性无关的函数,它们的所有线性组合所构成的函数集合记作φ,则每个ƒ∈L嵣在φ 中的最佳平方逼近
(3)
存在且惟一,其特征为ƒ-Sn与每个φj(i=0,1,…,n)都正交,诸系数сk由
(4)
确定,其中
为格拉姆行列式。当诸φj两两正交时,сk简化为
,
并称为ƒ 的广义傅里叶系数,相应的(3)称为ƒ 按正交函数系{φ0,φ1,…,φn}的级数展开式。一种重要的特殊情形是切比雪夫级数展开式。
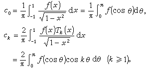
切比雪夫级数展开式即[α,b]=[-1,1],
,
的情形。系数具体表示为
H.L.勒贝格曾证明:若ƒ∈C[-1,1],则
此即表明,对于连续函数类而言,切比雪夫级数展开式的部分和是最佳一致多项式逼近的很好近似,并且由于它简便易行,在数值逼近的实践中广为采用。
有理逼近指逼近函数类取作
的情形,其中p(x),Q(x)为多项式,嬠p,嬠Q表示它们的次数。当ƒ∈C[α,b]时,ƒ在
[α,b]中的最佳一致逼近R*存在且惟一,其特征(充要条件)为在[α,b]上有一组点
使得误差R*-ƒ在这些点上达到其最大绝对值且符号正负交替变化,即
实践中有各种各样寻求最佳一致有理逼近的数值方法,其中效果令人满意者有基于上述特征的列梅兹算法,还有加权极小极大算法,又称劳勃算法。前者类同于寻求最佳一致多项式逼近的相应算法,只是将那里的多项式p(x)代之以有理函数R(x),初始偏差点组中包含n+m+2个点,以及在偏差点组上等化偏差时要解一个非线性方程组。后者的主要步骤可表述为:
(1)选取初始值Q0(x)>0 (α≤x≤b)。
(2)确定
和
,使
为极小(k=1,2,…)。为避免得到零解,可固定pk或Qk中的系数之一为非零常数,例如取b0呏1。经过若干次迭代,求得的Rk=pk/Qk即为足够精确的结果。
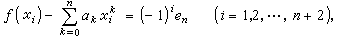
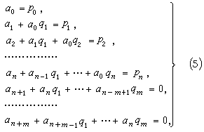
帕德逼近一种特殊类型的有理逼近,被逼近的函数由形式幂级数定义。设
若存在多项式
满足条件
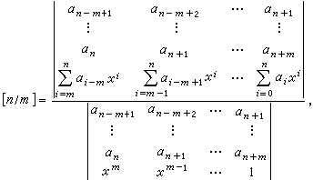
以及pn/Qm不可约且规范条件为Qm(0)=q0=1,则称Pn(x)/Qm(x)为ƒ(x)(在点x=0外)的(n,m)阶帕德逼近,并简记为[n/m]=pn(x)/Qm(x)。若[n/m]存在,则必惟一,其系数pj,qj满足方程组
这个方程组称为帕德方程组,其中若k<0,αk=0,ql=0(l>m)。当(5)非奇异时,雅可比给出[n/m]的显式解
式中若出现求和号的下指标超过上指标,则规定该和数为零。这个显式解尽管(当m 较大时)在计算上并不便利,但它对于研究帕德逼近的代数性质有重要的作用。帕德将诸[n/m]依自然顺序排列成形如
的表格,被称为帕德表,并研究了它的结构性质。表中相邻近的一些元素之间还存在着若干内在联系,可用于构造帕德逼近的各种递推算法。实践表明,帕德表中主对角线上及其两侧的元素,即[n/n]和[n/n±1],在n+m相等的诸元素中通常有更好的逼近效果。帕德逼近是函数的泰勒级数的自然引伸,已证明它是最佳局部有理切比雪夫逼近,它在数值分析的一些领域中以及物理学和化学的某些计算问题中有着各种应用。