[拼音]:linjie xianxiang
[外文]:critical phenomena
临界点附近物质呈现的特殊的性质。水的气-液相变是熟知的一种相变。增大压力时水的沸点升高;同时,水和水蒸气的密度差相应地变小;到达某一压力pc时,这个密度差为零。在水的温度-压力图上,这点称为水的气-液相变的临界点(见图)。在临界点上,水的气相和液相的差异消失了。临界点附近的物理现象有一系列特点。从热力学的观点看,液气共存对应于液相和气相的化学势相等,两相的比容(密度的倒数)不等是指在相变时两相的化学势对压力的一阶导数不等;临界点便是两相的化学势对压力的一阶导数也相等的点。在关于相变的热力学理论中,把相变时化学势的一阶导数不连续的相变称一级相变,一阶导数连续的称二级相变,或连续相变。所以临界现象也就是指在连续相变点邻近的现象(见相和相变、固体中的相变)。固体中有许多连续相变现象,如在居里点的铁磁-顺磁相变、在奈耳点的反铁磁-顺磁相变、在居里点的铁电-顺电相变、没有外磁场时的正常-超导相变(见顺磁性、铁磁性、反铁磁性、铁电性、超导电性)等。连续相变往往是体系的对称性的改变,如位移型结构相变中是点阵的空间群的改变;磁相变是晶体磁群的改变;超导相变是规范对称性的改变(见超导微观理论)。通常,可以定义一个或几个序参量来描述连续相变。它(或它们)在一个相(通常是对称性高的相)为零,在另一个相(通常是对称性低的相)不为零,而在相变点为零;相变时序参量连续变化。在上述气-液临界点的相变中,序参量可选为两相密度的差或比容的差;在铁磁-顺磁相变中可选固体的磁化强度,等等。
最初的临界现象理论是J.D.范德瓦耳斯的物态方程和关于气-液相变的理论,P.-E.外斯关于铁磁体的平均场理论(见铁磁性)。1937年Л.Д.朗道按平均场理论的精神,发展了描述连续相变的普遍理论。他认为,在连续相变点附近,系统的自由能F可以展开为序参量ψ的幂级数;
的极小条件,给出平衡态的ψ值。从连续相变及高温相(通常是高对称性相)ψ 应为零等限制出发,可以得到这个幂级数的普遍形式是:
(1)
系数a在T=Tc(T是温度,Tc是相变温度)附近,应近似为 a=a0(T-Tc),a0是一个常数。系数b近似为大于零的常数b0。从式(1)得到,平衡时有:
(2)
如果是铁磁-顺磁相变,ψ便是物体的磁化强度,假如加上外磁场H,则应在(1)中加上磁化能量-Hψ;这样,从朗道的理论应可得到,在连续相变点的附近:
(3)
而对T=Tc,磁化强度作为磁场H的函数近似于:
。 (4)
应该强调,朗道关于临界点附近序参量随温度、外场等变化的规律,是非常一般的,不依赖于具体的模型。实验表明,的确在离相变点不是太近的范围,朗道理论是正确的。但是,在很靠近相变点的地方,却有显著的偏离。通常引入一系列的临界指数来描写临界行为,如:
(5)
以及,T=Tc和H较小时:
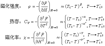
磁化强度:
; (6)式中 α、α'、β、у、у'、δ 等是一些临界指数,T →T廯指温度从高温端逼近Tc,T→T婔指从低温端逼近Tc。在临界点的附近,还发现体系的序参量可以有偏离平衡值的较强的涨落,通常定义位置r=0和r处涨落的两点关联函数为
。当│r│较大时,关联函数的行为一般可近似于:
ξ 称关联长度,从式(5)看到,序参量对外场的导数在临界点趋于无穷,这就意味着关联长度在临界点也应趋于无穷;于是,又再引入另外一些临界指数v、η来描写ξ的临界行为:
(7)
以及T=Tc时,关联函数随r的变化渐近于:
, (8)
式中d为系统的空间维数,上面引入这一系列参量 β、α、α'、γ、γ'、v、v'、η、δ 等都称作临界指数。按上面简述的朗道理论以及加上序参量空间变化的朗道理论的发展,求得的临界指数应是:
(9)
这和实验数据是不符合的,可参阅附表。从理论方面,二维的伊辛模型有严格的解,解得的临界指数是:
(10)
而三维的伊辛模型的数值解是:
(11)
这些都说明,基于平均场思想的朗道理论,由于忽略了Tc附近的热涨落,对描述临界行为来说是不够正确的。临界现象的研究,特别是由式(5)、(6)、(7)、(8)等描述的、体系自由能高于一次的导数在临界点附近的奇性行为,是近年来凝聚态物理与统计物理最活跃的研究领域之一。通过一些最普遍的理论分析以及很精细的实验检验,有下面几方面的规律。
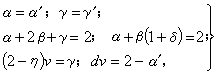
(1)标度关系。从普遍的热力学定律,要求上述9个临界指数应满足一些严格的不等式,如:
(12)
等。
(2)标度规律。目前的实验数据和理论表明,临界指数在Tc的两旁(即T→T廯与T→T婔)是对称的;并且在标度关系中的≥号实际是等号,即
(13)
等。
(3)临界指数的普适性。理论与实验数据都指出,临界指数所反映的临界行为仅与系统的对称性和空间维数有关,而与体系的具体结构、相互作用的形式和强弱都没有关系。应该说明,这里所指的对称性是指体系的内在对称性。例如,伊辛模型是二个元素
的分立对称性。各向同性的海森伯模型是O(3)连续对称性,超流和超导是有复数的序参量的系统,相当于二维旋量空间的连续对称性,等等。
1971年,K.G.威耳孙对临界现象理论作了重要的发展。他基于L.P.卡达诺夫提出的标度的概念,考虑到序参量空间变化的朗道-威耳孙等效哈密模量(即在式(1)中加上形如
的项,这里
是d 维空间的体积元),发展了重正化群的理论方法。借助于重正化群理论,可以比较好地分析临界现象,得到了标度规律,并说明了空间维数与临界指数的普适关系。从研究临界现象发展起来的一系列新的概念与理论方法现在不仅对连续相变的理论,而且也对凝聚态物理与统计物理的许多分支,以及量子场论和粒子物理学,都有深刻的影响。