[拼音]:zhonghouban
[外文]:plates of middle thickness
工程中常用的一类厚度远小于平面尺寸的板件。厚度虽小,但横向剪力所引起的变形和弯曲变形属同一量级,在分析静载荷下的应力和变形时,仍须考虑横向剪切效应,垂直于板面方向的正应力则可忽略。在分析动载荷下的应力和变形时,除考虑横向剪切效应外,还须考虑微段的惯性力和阻尼力矩。中厚板在机械工业中早已有广泛应用。近年来由于高压、高温和强辐射的环境要求,工程中板的厚度有所增加,很多板件均改用中厚板理论进行分析。
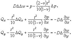
若中厚板位于xy平面内,在考虑横向剪力影响并忽略垂直于板面方向(z方向)的正应力情况下,中厚板受z方向分布载荷p的作用的弯曲微分方程式为:
式中ω为板的挠度;t为板厚;ν为泊松比;Qx、Qy分别为x、y方向的横向剪力;Δ为拉斯算符(即
);
为弯曲刚度,其中E为弹性模量。理论上 可从第一个方程求得ω,再由后两个方程求得Qx、Qy,然后进一步求得弯矩、扭矩。但这一偏微分方程不能直接积分,所以通常用纳维法、瑞利-里兹法、有限差分方法等方法求解。近年来,由于有限元法的发展,出现不少计算中厚板的程序,通过它们可以很方便地求得解答。从结果看,在考虑横向剪切效应后,挠度ω有所增大,自振频率和失稳临界载荷有所降低,板件中内力的变化趋于平缓。这些变化的程度都与板的厚跨比的平方成比例。
20世纪20年代,S.P.铁木辛柯在一维梁的分析中首先考虑了横向剪切效应。1943年E.瑞斯纳将它推广到二维问题并导出了中厚板的微分方程。由于数学上仍有困难,目前中厚板理论应用得还不够广泛。