[拼音]:shuiliu de wendong hunhe
[外文]:turbulent mixing in flowing water
由于水流紊动而引起的水体中动量、热量和质量的混合现象。在静止水体中或作层流运动的水流中,悬浮微粒不停地进行布朗运动,产生物质迁移现象。例如,向静止水体投入有色溶液,便会由于布朗运动,而使溶液向整个水域扩散,这种现象称为分子扩散。在紊流中存在着大小不等的涡漩,这些涡漩也在相互交错不停地运动着,这种运动现象称为紊动。紊动与布朗运动类似,使水中的动量、热量与质量向全部水域扩散,称为紊动扩散。紊动扩散最终将导致水中动量、热量与质量的充分混合。
美国人A.斐克于1855年首先提出液体中分子扩散定律,指出在各向同性的水体中,单位时间通过单位面积的质量与该断面的浓度梯度成比例。英国人G.I.泰勒通过实验和理论分析,于1921年提出,紊动扩散机制与分子扩散机制是相似的,因而也可应用斐克定律来分析紊动扩散现象,从而为研究紊动扩散奠定了理论基础。此后,美国人V.A.范诺尼、H.劳斯、D.W.普里查德和英国人K.F.鲍登应用紊动扩散理论研究细粒泥沙在水中的运动和河口淡水同盐水的混合。20世纪60年代后期,随着环境科学的发展,美国G.T.乔那迪和H.B.费希尔等人研究了污染物质在水中的紊动扩散,提出了紊动扩散及分散方程的各种实用形式,使紊动混合的研究不断完善。
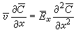
根据质量平衡方程和斐克定律,可以推导出紊动水流中悬浮物质的对流扩散方程,在恒定均匀流情况下,三维对流扩散方程为
式中v 为水流中某一点(或单元水体)的纵向时均流速;x为沿水流的纵向坐标;y为沿水深的垂向坐标;z为沿河宽的横向坐标;C 为水流中某一点(或单元水体)被扩散物质的浓度,均为时间平均值;Ex、Ey、Ez分别为x、у、z三个方向的紊动扩散系数。一般的水流紊动不是各向同性的,所以三个方向的扩散系数并不相同。紊动扩散系数比分子扩散系数大数百倍,其量纲为L2T-1,L、T分别表示长度、时间的量纲。紊动扩散系数是紊动涡漩尺度与脉动强度的乘积,涡漩尺度与河流的水深h有关,脉动强度可用摩阻流速
表示,其中g为重力加速度,J为水面坡度,因而,紊动扩散系数可以表示为E=αhv*的形式。其中α为经验系数,一般通过实际观测确定。
称为对流项,其中
是纵向的浓度梯度;
表示由于纵向时均流速引起的质量输送在x方向的沿程变化;
称为纵向扩散项,描述由于紊动而引起的水中物质的纵向扩散。纵向扩散项远小于对流项,因而可以忽略不计;
称为垂向扩散项,描述由于紊动引起的水中物质在垂向上的扩散,一般河流水深远小于河宽。对于比重与河水比重接近的物质,在垂向上很快可以达到沿水深的浓度均匀分布,因而实际计算时可以不再考虑垂向扩散项。
称为横向扩散项,设污水从岸边排放,在沿岸边流动时又沿 z方向扩散,扩散的宽度逐渐向下游增大,经过一定的距离之后才达到对岸,然后逐渐在全断面上充分混合,形成均匀的浓度分布。对于很宽的河流,岸边污物很难扩散到对岸,而形成沿岸污染带。
河流断面上的流速分布不均匀,因而形成局部的浓度差异和局部扩散,产生纵向的断面平均浓度梯度,这种现象称为分散,可用下式描述
式中堸为断面平均流速;叿为断面平均浓度;唕x为分散系数。
按被扩散物质(包括热水和盐水)的比重同水流中水的比重的差异,把被扩散的物质分为三类。第一类,比重小于水的扩散物质,例如热电厂排出的热水,它漂浮在水面,在应用扩散方程研究冷热水混合时,要在方程中考虑浮力的作用;第二类,比重大于水的扩散物质,如细颗粒泥沙、盐水等,在应用扩散方程时,要考虑重力沉降作用;第三类,比重与水的相同或接近的扩散物质,称为中性物质,此时不考虑比重差异的影响。
湖泊、水库和海洋中的紊动混合,也可用上述扩散方程研究和计算,但扩散系数随着扩散宽度的增加而变化。
- 参考书目
- G.T.Csanady,Turbulent Diffusion in the Environment,D.Reidel Publ.,Dordrecht,Holland,1973.
- H.B.Fischer,et al.,Mixing in InlandandCoastalWaters,Academic Press,New York,1979.