能量方程

分析计算热量传递过程的基本方程之一,通常表述为:流体微元的内能增量等于通过热传导进入微元体的热量、微元体中产生的热量及周围流体对微元体所作功之和。此方程是对非等温流动系统进行能量衡算所得的数学关系式,即:

公式 符号     (1)

式中ρ为密度;DU/Dτ为内能U对时间τ随体导数,表述单位体积流体内能的变化率;DQ/Dτ为周围流体以热传导方式输入单位体积流体的热流量;pDV/Dτ为单位体积流体所作的膨胀功率(p为压力、V为体积);φ为单位体积流体于单位时间内由摩擦使机械能变为内能之值;qi为单位时间单位体积流体产生的热量(如反应热)。

对于不可压缩流体,在无膨胀功、忽略摩擦损耗、无热量产生等条件下,将热传导速率用傅里叶定律表述,则方程式(1)成为:

公式 符号        (2)

式中cp为定压比热容(见热化学数据);λ热导率T为温度。此式又可写成:

公式 符号         (3)

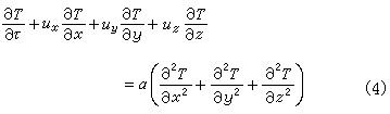
式中α为导温系数,详细写出上式中算子所包含的各项,可得:

公式 符号

式中uxuyuz为速度分量。如果已知流体速度分布,就可对能量方程用解析法或数值法求解,得到温度分布。如果流动速度为零,上式即简化为热传导方程:

公式 符号     (5)