刚体动力学

一般力学的一个分支,研究刚体在外力作用下的运动规律。它是计算机器部件的运动,舰船、飞机、火箭等航行器的运动以及天体姿态运动的力学基础。

刚体平动动力学

刚体的平动是刚体运动的简单形态。它在动力学上有两层意义:

(1)当刚体满足平动的动力学条件时,刚体实际所作的运动;

(2)刚体作一般运动时所分解出的平动部分(刚体一般运动)。

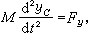
刚体平动时,其中各质点的轨迹、速度、加速度全一样,所以刚体的平动可用其质心的运动来代表。应用质心运动定理,可建立刚体平动所应满足的运动微分方程:

公式 符号,          (1)

式中Μ为刚体质量;公式 符号为刚体质心的加速度;F 为作用在刚体上所有外力的主矢量。

刚体实际作平动的动力学条件是: F必须通过刚体质心,且刚体绕质心的初始角速度为零。当不满足上述动力学条件时,刚体实际上作一般运动。如将刚体的一般运动分解为平动和对质心的转动,根据质心运动定理,平动部分仍以(1)作为其运动微分方程。因此,无论从那一层意义上说,刚体平动的运动微分方程和质点的运动微分方程在形式上完全一致。刚体动力学中有特征的内容乃是对刚体转动规律的研究。

刚体定轴转动动力学

刚体定轴转动是刚体转动的最简单形态,以旋转轴上任一点O为原点,作固定坐标系Oxyz,其中Oz沿旋转轴方向(图1)。

图

当刚体以角速度ω作定轴转动时,整个刚体对Oz轴的动量矩为:

公式 符号

式中Iz是刚体绕旋转轴的转动惯量。应用动量矩定理,可建立刚体定轴转动的运动微分方程:

公式 符号        (2)

式中公式 符号为刚体绕定轴转动的角加速度;公式 符号为作用在刚体上所有外力对旋转轴之矩的代数和。刚体定轴转动微分方程(2)可同质点直线运动的微分方程公式 符号逐项类比。同质点质量m对应的量是Izm是质点运动时惯性的度量;Iz则是刚体定轴转动时转动惯性的度量。这正是Iz称为“转动惯量”的来由。

应用刚体定轴转动的微分方程 (2)可以对物理摆的运动规律、旋转机械输入和输出功率同平衡转速的关系进行研究。刚体定轴转动的另一重要研究课题是支承的动载荷。动载荷是与刚体转动角速度有关的载荷。当刚体既满足静平衡──刚体的重心在转动轴上,又满足动平衡──旋转轴是惯性主轴时,支承才不受动载荷的作用。这个结论在工程上有重要价值(见动平衡)。

刚体平面运动动力学

刚体平面运动是机器部件一种常见的运动形态,例如曲柄连杆、滚轮等的运动。过刚体质心作刚体平面运动的固定平面,此平面在刚体上截得一平面图形。此图形在上述固定平面上的运动完全刻画了刚体的平面运动。由运动学可知,刚体的平面运动可由质心C在平面上相对固定坐标系Oxy的运动和刚体绕过C并同固定平面垂直的轴Cz的转动合成(图2)。

图

刚体的旋转轴Cz虽然在空间中变动,但它的方向不变,相对刚体的位置也不变,因而刚体绕Cz轴旋转的转动惯量是常值IC,绕Cz轴的动量矩为公式 符号。根据质心运动定理以及绕质心的动量矩定理,可建立刚体平面运动的微分方程:

公式 符号 公式 符号 公式 符号  (3)

式中Μ为刚体质量;FxFy为作用在刚体上所有外力在xy轴上投影的代数和;xCyC为质心坐标;Μz为所有外力对Cz轴的矩的代数和;公式 符号为刚体转动的角加速度。利用上述运动微分方程并给出刚体运动的初始状态,就可以求出刚体平面运动的规律。

刚体定点转动动力学

质点动力学以及所有以上论及的刚体动力学分支都有一个共同的特征:动力学量(动量或需要的动量矩分量)同相应的运动学量(速度或角速度)之间是乘以标量的关系。但是,刚体定点转动的动力学量──动量矩矢量L同相应的运动学量──瞬时角速度矢量ω之间不再是乘以标量的简单关系,而是一种矢量之间的线性变换关系。

假设刚体绕固定点O 转动。考虑刚体的任一质量元Δmi,它的矢径为公式 符号整个刚体对O点的动量矩矢量L可表为:

公式 符号 公式 符号

取同刚体固联的坐标系Oxyz,根据惯性张量的定义(见惯性椭球),得到刚体绕固定点转动的重要关系式:

公式 符号

式中

公式 符号 公式 符号 公式 符号 公式 符号 公式 符号 公式 符号

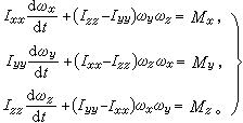
利用上述关系式,将动量矩定理的矢量方程公式 符号投影到同刚体固联的坐标系上,可以得到刚体绕固定点转动的一般方程。如果特别选定刚体固联坐标系Oxyz为刚体对O点的惯性主轴坐标系,则全部惯性积为零。此时可建立著名的刚体绕固定点转动的欧拉动力学方程组:

公式 符号    (4)

把式 (4)同刚体绕固定点转动的欧拉运动学方程组

公式 符号       (5)

结合在一起,就构成了求解刚体绕固定点转动的封闭的运动微分方程组。它是由六个一阶非线性微分方程所组成。从中消去ωxωyωz,可以直接得到对欧拉角θψ的三个二阶非线性微分方程。

寻求上述运动微分方程组的完全积分,一般说来非常困难。如果公式 符号,则刚体绕固定点的运动称为“纯惯性运动”,这种运动是可以彻底分析求解的。对于有外力矩的一般情况,刚体的运动非常复杂。仅在刚体的惯性椭球回转对称,而且初始状态有绕回转轴的高速自转情况下,刚体受外力矩作用下的运动才具有较简单的规律(见刚体定点转动解法)。

历史上曾对刚体在重力作用下绕一固定点转动的问题进行过长期的研究。即使对这种简单问题,要找到足够的积分组来一般性地求解也只有在三种特殊情况下才有可能(见重刚体定点转动)。

刚体一般运动动力学

刚体一般运动是对惯性坐标系而言的。设C为刚体的质心,Cxyz为同刚体固联的质心惯性主轴坐标系。因刚体一般运动可分解为平动和绕质心的转动,故应用质心运动定理和对质心的动量矩定理,可以立即建立刚体一般运动的微分方程组:

平动方程

公式 符号

对质心的转动方程

公式 符号

公式 符号

公式 符号

式中Μx、Μy、Μz为刚体所受各外力对质心C 的力矩分量的代数和。

利用上述运动微分方程组并考虑运动学方程组 (5)以及初始条件,即可确定刚体在空间中的一般运动。刚体一般运动的研究对研究各种航行器轨迹和姿态运动之间的相互关系有重要意义。

以上论及的只是单刚体动力学。由于现代科学技术的发展,多刚体系统动力学的研究也正在开展中(见多刚体系统)。