分析数据的统计处理

分析化学测定的全过程都离不开物理量的测量,例如称量,量体积,读取电位、吸光度或峰高等信号值。这些测量技术对于环境温度、湿度、试剂纯度、仪器性能甚至个人的习惯等一系列因素都会在一定程度上产生敏感,从而造成测量数据的波动。实验误差是客观存在的,分析结果必然带有不确定性。为处理这些波动的数据并恰当地定量描述带有不确定度的结果,就要用专门研究起伏波动的统计学工具,后者是建立在概率论基础上的,可以帮助实验者科学地收集、整理和分析数据,从中获得信息,并合理表达数据,以说明研究对象的某些特征。

误差

测量值x带有误差E,测量值去掉误差就等于真值μμx-E,所以误差的定义为:Ex-μ,即测量值偏离真值的程度,也是测量值的不确定度。

绝对误差

测量值大于真值时误差为正数,表示结果偏高;反之,误差为负数时表示结果偏低。这里的误差都是绝对误差,它具有与测量值和真值相对的量纲,也只有在与测量值一同考虑时才有意义。例如,0.05%的绝对误差,对于大约含硅60%的硅酸盐中硅的测定是令人满意的,但是发生在含量仅0.01%的痕量组分分析时,就不容许了。

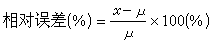
相对误差

绝对误差在真值中所占的比率称相对误差,一般用百分率表示:

公式 符号

当真值为未知时,可用多次重复测定结果的算术平均值塣代替μ。相对误差是无量纲的,以便于比较不同的分析结果。

粗差

也称过失误差,是由于操作误差而造成的。

系统误差

它的产生是有一定原因的,系统误差的大小在相同的测定过程中是恒定的,或者遵循一定的规律变化,例如随样品量或试剂用量的大小按比例变化。系统误差又有一定的指向,例如称量一种吸湿性物质,称量误差总是正值。从系统误差的来源看,属于方法和技术问题,知道了产生的原因,便可设法消除或修正,所以也叫可定误差。

随机误差

在相同条件下重复多次测定同一物理量时,误差的绝对值和符号的变化或大或小,或正或负,看来毫无规律和纯属偶然,这种误差称为随机误差,也叫偶然误差。它遵循随机变量的统计规律,单个地看是无规性的,但就其总体来说,正是由于单个的无规性,才导致了求它们的总和时有正负相消的机会,而且随着变量个数的增加,误差平均值趋近于零。这种抵偿正是统计规律的表现,所以随机误差是可以用概率统计的方法来处理的。

精密度和准确度

误差代表不确定度,即不精密度和不准确度,但习惯上用其倒数来表示精密度和准确度。精密度高的实验结果,其准确度不一定高(除非不存在系统误差);但精密度高却是准确度高的先决条件。

精密度纯属随机误差引起的不确定度部分,它反映一组重复测定的数据相互接近的程度或说明分散的程度。在分析化学中,根据具体情况的不同,可用以下两种方式表示精密度:

(1)重复性,是在完全相同条件(同一操作者、同一仪器、同一实验室和较短的时间间隔)下用相同方法分析相同的样品所得一组重复测定数据的精密度;

(2)再现性,是不同条件(不同分析人员、不同仪器、不同实验室、不同时间)下用相同方法分析相同的样品所得一组测定数据的精密度。

准确度表征测量值与真值的偏离程度,广义的准确度应包含系统误差和随机误差的联合效应。

基础统计学概念

总体、个体和样本

统计学中把准备测量的一个满足指定条件的个体的集合叫做总体,其中的每个单位是一个个体,从总体中随机抽出的一组个体叫做一个样本,样本中个体数目即样本的大小或样本容量。对分析化学来说,总体是指在给定条件下经过无限多次重复测定得到的无限多个数据的集合。这只能是理论性概念,因为实际能够得到的是有限的N次重复测定的N个测量值,即样本容量为N的一个样本,通过样本的统计量来估计总体的参数。

正态分布

同一个总体的无限多个数据通常总是聚集在某个中心值周围。高于或低于中心值的数据对称分布在中心值两旁。距中心值越远的值出现的频率越小。若以频数对测量值作图,可得图1

图

中的钟形曲线,曲线越宽,在指定条件下测得的数据越分散,精密度也越差,因此以反映分布曲线宽度的参数σ(曲线拐点到中心值的横坐标值)表征精密度,同时以反映数据集中趋势的参数μ表征总体平均值。确定了μ和σ,分布就确定了。还可用N(μ,σ2) 表示中心值为μ,分散性参数为σ2的正态分布。

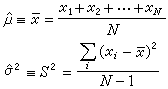
样本的统计量

用来估计总体参数。设在指定条件下重复测定一个化学样品N 次,以x1x2,…, xN代表N个测定值xi,便可定义下面的样本统计量为总体参数的估值:

公式 符号

式中公式 符号为样本均值,公式 符号为样本方差,N-1为样本的自由度。公式 符号公式 符号是随样本而变化的随机变量。只有当N趋于∞时,它们才趋近于常数,成为总体均值μ和总体方差捛2。方差的平方根叫做标准偏差捛:

公式 符号 平均值的标准偏差

将一组独立的重复测定值加以平均时,一部分随机误差得到抵偿,使平均值带有的随机误差比原测定值为小,N 越大,抵偿得越多。平均值的标准偏差σ塣又叫标准误差,与单次测量值的σ之间的关系为:

公式 符号

故平均值服从公式 符号分布。N增大使σ塣减小的收益,因平方根的关系而有限度。若想使标准偏差减为1/10,便要相应地使N增大100倍,何况系统误差并不因多次平均而减小,所以通常只在N<20时才考虑增大N的收益。

不确定度和区间估计

误差的标准正态分布

将测量值 x的频数分布图的横坐标改成以标准偏差为单位的误差,以变量Z表示:

公式 符号

Z是无量纲的,曲线上两拐点处的横坐标位置分别是-1和+1,而中心值为0(图2),

图

这时的分布叫标准正态分布,以N(0,1)表示。

区间估计

图2中的正态分布曲线又叫高斯曲线,它根据高斯误差方程画出。

公式 符号

式中p(x)dx是一个随机误差的值落在区间xx+dx的概率。整个曲线与横坐标所包的面积代表全部误差值出现的概率总和,它等于1。样本值落入任意区间(ab)的概率记作p(axb),等于xaxb线段和曲线组成的面积,即:

公式 符号

经计算,样本值落入 μ-σ 到μ+σ即 μ±σ区间的概率为68.3%;落入μ±2σ和μ±3σ区间的概率分别为95.4%和99.7%(图2)。

这里σ的系数就是N(0,1)分布中的Z值, 若取概率为0.95,即意味着Z=1.96,各种Z值下的概率可从一般书刊中查到。

容许区间

对总体而言。μ±Zσ 区间内的分布曲线称覆盖域,以P表示,是由Z值规定的。在有限次测定中用样本值塣和S代替总体参数μ和σ时,由于塣和S是随样本而异的随机变量,致使选定K值组成的塣±KS区间也是随机的,难以定量覆盖域。但是如果在选择PK的同时外加一个出现这种P值的可能性或概率γ,便能用以下的形式说明问题,例如要回答欲使覆盖域不小于P的可能性为γ,应取什么K值。表1给出与常用Pγ 相对应的K值。

图

由给定PγK值组成的样本区间塣±KPγS叫做统计容许区间。例如,从同一批产品的小包装中随机抽样10个,测定其中某组分的含量,得塣=15.32%和S=0.24%,欲以90%的把握估准至少为99%的产品的含量,可以从表1查出γ=0.90,P=0.99,N=10时的K值为3.959,由此计算得到容许区间为 15.32-3.959×0.24到 15.32+3.959×0.24,即14.37%~16.27%。这个答案是:如果产品中某组分的含量遵守正态分布,便能以90%的把握断定99%的产品中该组分含量在区间14.37%~16.27%中。

置信区间

已知单次测量值分布的标准偏差σ,样本容量为N的测量平均值塣分布的标准偏差公式 符号,则通过塣和不确定度公式 符号 所组成的区间公式 符号能够括入总体均值μ的概率是由Z值决定的,例如:

公式 符号

这里的概率叫做置信概率或置信水平、置信度。以一定置信水平估计出的 μ所在的区间叫置信区间。当总体σ为未知而用样本S 代替 σ确定置信区间时,只有一个置信度就不够了,而要用一个不但随置信水平而异的,还要随自由度fN-1变化的因子代替Z

这个置信因子已由W.S.戈塞特解决了,他把置信因子t定义为:

公式 符号

通过服从正态分布的样本去估计总体均值的置信区间为:

公式 符号

t值可从表2查到。必须注意,自由度f=∞时,各置信概率下的t值即恒等于标准正态分布中的Z值。

图

统计检验

基本概念

统计检验是建立在小概率事件的实际不可能性原理上的概念。分析一个化学样品和测定某物质的“真实”含量也只能在某种置信水平Pc上用一个置信区间来推断总体均值的所在范围。实际上是承认另外那部分小概率1-Pc已小到足以判断真值不会在置信区间以外。

显著性检验

在实际应用中往往不只是估计总体的值,还需要说明总体的某种性质,例如两个样本的差异是否显著到不能代表同一总体。这里包括工艺改变后产品质量有无显著变化,两种分析方法测定结果是否一致等具体问题。

这类统计推断都是先提假设,然后按照某种逻辑在某种概率上判断是否有显著性差异,以决定原假设的成立与否。所以,统计检验方法又叫做显著性检验或假设检验。

显著性水平

显著性检验离不开预设的小概率,例如正态分布的测量值落到区间 [μ±2σ]以外的概率小于0.05,落到区间[μ±3σ]以外的概率更小于0.01。在N 趋近于∞时,概率如此小的事件在有限次测量中理应不出现。如果竟然出现了,就有理由认为它是异常的。这个小概率越小,相应的事件就越显得异常,所以此小概率在统计检验中叫做显著性水平α,可用它来反映显著异常的程度。通常α在0.05以下便认为是显著。

统计检验在分析化学中的应用

(1)极值的取舍,在同一组样本值中的最大值xmax和最小值xmin叫极值。对极值容易产生怀疑。它的取舍往往很影响精密度。如果技术上找不到舍弃的原因而又有怀疑时,可借助统计检验工具。先假设被检值不异常,选定显著性水平α(例如α=0.05)和一种判据公式,例如格拉布斯检验公式:

公式 符号

式中T为格拉布斯临界值;塣、Sxmaxxmin分别代表均值、标准偏差和被检验的极大、极小值。按公式计算 T值与对应于给定样本容量N 与显著性水平α 的格拉布斯临界值T(Nα)(表3)进行比较,如果TT(Nα),则接受原假设,认为不异常,差异随机波动。如果TT(Nα),则能以不属同一总体为理由而舍弃被检验值,这样做,犯错误的概率小于0.05。

图

(2)t检验,指检验两个样本容量分别为N1N2的样本,看均值塣1和塣2是否有显著差异,前提是二者的方差相同(只有随机波动)。

先假设二者在显著性水平α上无显著差异,可视为来自同一总体,计算统计量t:

公式 符号

t分布表中对应于自由度fN1+N2-2的t(1-αf)值比较,如果tt(1-αf)则接受原假设,即在1-α置信度上认为两平均值没有差异。如果tt(1-αf),则否定原假设,认为两平均值差异是显著的,不能只用随机波动解释,这样判断,犯错误的危险率小于α

参考书目
  1. ASTM, Committee E-11 on Statistical Methods,ASTM Manual on Presentation of Data and Control Chart Analysis,ASTM Special Technical Publication 15D,1976.