[拼音]:shenjing he ganjue xinxi
[外文]:neuro-sensory imformation
生物信息的1种,靠神经系统电脉冲和神经递质携带和传递。神经系统的功能是接收、传递内外环境中的信息,加以处理、分析,从而控制和调节机体各部功能,对环境作出适当的反应。因此,神经信息对于有机体的生存以及正常生活起着至关重要的作用。
感觉信息的处理
感觉系统是神经系统中直接与内外环境联系的部分。感觉系统的终端是感受器,它们分别对某一特定物理或化学性质的刺激敏感(如光感受器只对一定频率范围内的光波刺激敏感)。感受器实现能量转换,把外界刺激变换为神经电活动。一般认为神经信息编码于神经脉冲的发放频率(见生物电、生物膜离子通道)。感受器输出的信息,经过多次神经交换,最后投射到皮层,形成不同的感觉区。刺激感官就可引起大脑皮层相应感觉区的电变化。一定刺激条件下记录到的这种电变化有一定的波形,称为皮层诱发电位。感觉器官向中枢提供的有关外界环境和体内功能状态的信息量,每秒可达109比特。有机体只接收其中最有用、最重要的信息,并用最经济最有效的办法处理。动物的感觉系统在长期进化过程中,形成了十分有效的信息处理系统。下面以视觉系统为例,说明感觉系统接收和处理信息的一般规律。
对数律单个感受细胞输入-输出特性的静态特性,一般服从对数律。在视觉系统中输入量是光照强度,输出量是发生器电位或动作电位,它们之间关系为:
式中,ƒ:单位时间内神经脉冲数,I:光照强度,a:常数。对于鲎眼光感受器来说,a=42,心理物理实验表明,视觉闪光融合频率与光照强度之间同样满足上述关系。视敏度与照明强度之间在一定条件下也是这种关系。视觉系统的定量组织学研究表明,不少动物的视网膜与视皮层之间拓扑投射关系,是一种复对数的空间变换关系。对数律不仅局限于视觉系统,描述感觉量与刺激量关系的韦伯-费希纳定律,实质上也是一种对数关系。因此,可以说对数律是描写感觉系统整体及单细胞输入-输出关系的普遍规律之一。
适应感受细胞一般对于刺激的时间变化十分敏感,感受器脉冲发放率与刺激强度及刺激强度的变化率有关。刚给予刺激时或刺激突然增大时,在电生理仪器上可以记录到密集的神经脉冲。如果刺激强度保持不变,则感受器电位逐步降低,脉冲频率也将逐渐变稀疏。这种现象在神经生理中称为适应现象,是感觉适应的生理基础,感受器对刺激的这种动态反应过程,在一定范围内可用下列传递函数来描述:
式中参数 K1、K2、T0和 T1由不同类型感受器的反应曲线决定(此处未考虑感受器的潜伏期)。各类感受器都具有适应性,但是适应速度不尽相同。
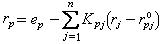
相互抑制作用感光细胞一般呈密集的阵列状排列,在视网膜上除了感光细胞以外,还有数量众多的其他各种类型的细胞,相互之间存在错综复杂的联系。因此,视神经纤维向中枢传递的信息不仅仅是单个感受细胞所受到刺激值,而且还与邻近感受细胞的状态有一定关系。H.K.哈特兰发现鲎眼中光感受细胞之间存在抑制性相互联系,称之为侧抑制网络(图1a)。这种网络的性质可以用两个参数来描述:一为抑制系数
,表示第j个细胞对第p个细胞的抑制作用的大小;二为抑制阈值
,只有当第j个细胞的兴奋值rj超过
时,才能对第 p个细胞发生抑制作用。这种相互抑制作用可用下列方程描述:
p=1,2,3,…n式中ep是第 p个感受细胞单独光照下的反应(以脉冲频率计量),rp是其他细胞也受光照情况下第p个细胞的反应。由于鲎眼中存在这种抑制性相互作用,使输入的亮度空间分布经过这种网络的处理后,神经网络输出端相应于亮度大的一边有一高峰,而亮度低的一边有一凹谷(图1b)。从而使亮度的空间变化在神经网络中形成一个“夸张“的空间分布。这种理论成功地解释了19世纪发现的一种心理现象──马赫带现象。现在了解到相互抑制作用在其他感觉系统,如听觉、触觉中也存在。不仅如此,相互抑制作用在不同层次的神经网络中也可观察到。所以,相互抑制作用是感觉系统及至整个神经系统处理信息的普遍规律之一。
功能柱状结构组织形态学研究结果表明,猫、猴等哺乳动物的视觉系统呈现由外周到中枢,由低级到高级的明显的层次性。用微电极记录视觉系统中单个细胞的活动,用小光点在视网膜上探索,能找到一定区域内的光变化可引起这个记录细胞的兴奋性变化,这个区域叫做这个细胞的感受野。视网膜和外侧膝状体上的感受野一般呈同心圆结构。一类感受野的中心是兴奋性的,外周是抑制性的;另一类感受野中心是抑制性的,外周是兴奋性的。D.H.休伯尔和T.N.维泽尔的工作表明,视皮层的细胞分成简单细胞、复杂细胞、超复杂细胞和高级超复杂细胞。这些细胞的感受野呈长条形、边线形,它们对于图像中边线的朝向和运动特别敏感(图2)。
休伯尔和维泽尔的工作表明,视皮层上细胞的排列十分有规则。对同一朝向敏感的细胞,排列在与皮层表面垂直的同一柱状结构中。相邻的柱内的细胞对相差 10°的朝向敏感。能够感受180°范围内朝向的细胞集体,称为一个超柱。有的超柱内细胞对来自左眼的信息敏感,有的对右眼信息敏感,它们在皮层排列上交替相间出现,很有规律。视皮层呈现的功能上的柱状结构,带有一定的普遍性。其他感觉皮层也有类似的结构。
神经网络的信息处理
神经网络是由大量神经元构成的具有一定功能的复杂系统。因为神经元之间有大量的突触联系,所以可以把神经元看作是一个多输入多输出单元。神经元具有时空总和、阈值、不应期、适应性及可塑性等特性。根据这些性质先后提出不少数字模型并用电子线路或由子计算机进行了模拟。W.S.麦卡洛克和W.皮茨1943年,开创性地提出形式神经元的模型。由这种形式神经元再加上它们之间的一些联系规律(如信号的单向传递性、只有兴奋性和抑制性两类联系及抑制性联系的否决权作用等),可以用数理逻辑方法描述各种神经网络的状态和功能。对于这种结构固定的神经网络,在知道它的输入事件后,可以推断任意时刻后事件在神经网络中的表达以及神经网络的内部状态。在麦卡洛克和皮茨的工作基础上,S.C.克伦于1956年提出结构固定,时间离散和状态有限系统中事件表达的理论,即有限自动机理论。60年代初,世界上有不少实验室用电子管、晶体管制作模拟神经元功能的电子模型。这些神经元的电子模型,可以模拟神经元的一些主要特性,它对于单个神经元性质的理解,以及简单神经网络的行为分析,有一定作用。
在神经元模型的基础上,在特定形式连接下,对神经网络的特性进行了研究。利用计算机运算速度快,容量大和软件灵活的特点,神经网络的理论研究中的数值计算部分,多在计算机上进行。1985年后,利用大规模集成电路技术,设计制造神经网络的电子模型。这类大规模神经网络的特性研究,常用来解释脑电波产生的机制、回响现象、节律产生的规律,以及用于神经计算机的研制。
由于神经系统极度复杂,无论从生物原型、从数学模型和电子模拟上研究,都仅能模拟神经系统的某些功能,而对于揭示大脑的本性还相差甚远。因此,有些科学家首先选择了低等动物比较简单的中枢系统作研究材料,并期望这些成果能对高级神经中枢信息处理的研究有所帮助。低等动物的神经系统,神经元数量少,有的个体大,行为模式简单,所以研究比较清楚,E.R.肯德尔对海兔上千个神经细胞遂一加以标识,确定了它们的形态、位置和功能。对于海兔的一些反射性行为和学习记忆的神经基础,取得重大进展。J.P.尤尔特发现横放的黑色条形物做水平运动时,引起蟾蜍的捕食反应,竖放的黑色条形物作水平运动时,引起蟾蜍的逃避反应。他们详尽研究了这种固定的视觉刺激模式引起刻板的行为反应的神经基础,提出信息处理过程和产生这种行为反应的神经网络模型。这类从动物的行为出发,结合神经解剖学和形态学,利用电生理学方法记录单个细胞的活动,最后把产生这种行为的神经基础搞清的方法(图3),已形成神经科学的一个分支学科。
人类大脑的结构形态上是左右对称的,但是在功能上并非对称。多数人用右手写字握剪,只有少数人才用左手。一般人的左右两眼也不完全一样,有一个是优势。这些都是左右两半球功能不对称的外部表现。R.W.斯佩里证明,人脑左右两半球在处理信息的内容和能力上是有分工的。左半球善长于处理抽象信息,如语言、逻辑和数学,而右半球善于处理形象信息,如艺术、美术等。
神经系统最大特点之一是在个体发育中和学习过程中内部结构可变。环境因素对神经系统结构和功能的影响,称为神经系统的可塑性。可塑性在幼小动物身上表现特别明显。小动物出生后的某段时间内可塑性特别大,称为关键期。如猫的关键期是生后24~36天,猴是28~42天,人是4岁前后。对这种现象当前较为普遍承认的理论认为,学习和记忆时神经的突触联系发生变化,文献中常称为赫布理论。1961年E.R.卡亚涅洛基于上述理论提出神经网络的记忆方程。E.R.卡亚涅洛延用形式神经元的主要内容,引入一个可变的突触系数,突触系数按一定的规律随输入而变化,从而实现学习和记忆的功能。按照突触联系的不同变化规律和神经网络的不同结构方式,现已提出不同的学习理论和模型,如F.罗森布拉特的感知机,中野馨的联想机,福岛邦彦的认知机,T.科霍宁的联想理论,J.J.霍普菲尔德的神经方程等。
近年来对复杂的神经系统的结构和功能的研究,先后提出I.普里戈任的耗散结构系统理论,H.哈肯的协同论,R.托姆的突变论。神经系统是一种典型的非线性、时变的复杂系统,因此,对神经网络的结构和功能的研究,将有助于了解对神经网络信息处理的本质。
由于传统电子计算机的局限性,科学家正在大力探索神经系统处理和存贮信息的特点(平行、集体、动态等特性),并试图用电子器件实现这些功能。目前已开拓出神经计算机这样一种高技术产业。