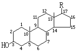
甾醇 [拼音]:zaichun [外文]:sterols 甾族化合物中一类仲醇,在该族中发现最早,自然界中分布甚广,有的与脂肪酸成酯,有的与糖成苷,有的以游离状态存在。根据来源的不同,可分为动物甾醇、植物甾醇和霉菌甾醇三种。动物甾醇的 C17上有一个含8个碳原子的侧链,植物甾醇的C17上的这一侧链含有9~10个碳原子,霉菌甾醇是从酵母和霉菌中得到的。重要的甾醇有:胆甾醇、麦角甾醇和羊毛甾醇等(见表)。 阅读全文