麦角

概况

异名:黑麦乌米(《全国中草药汇编》),紫麦角菌(《新华本草纲要》)。

基源:为麦角科麦角属真菌麦角菌的菌核。

原植物:麦角菌Claviceps purpurea(Fr.)Tul.另有一种也可作麦角入药:拂子麦角C.microcephala(Wall.)Tul.,又名小麦角(《新华本草纲要》)

历史:麦角一名由日本传入,见于松村三所撰《植物名汇》(1884年);日本《药局方》沿用此名。

形态:菌核圆柱形,角状,稍弯曲,一般长1~2cm,直径3~4mm,生于禾本科植物的子房上,最初柔软,有粘性,成熟后即变硬,质脆,表面呈紫黑色或紫棕色,内部近白色;子座20~30个,从一菌核内生出,下有一很细的柄,大多变曲,白色至褐色,顶端头部近球形,直径1~2mm,红褐色。子囊壳全部埋生于子座内,仅孔口稍突出,烧瓶状,200~250×150~175μm;子囊及侧丝均产生在子囊壳内,子囊很长,呈圆柱状.100~125×4μm;每个子囊内含有子囊孢子8个,子囊孢子丝状,单细胞,透明无色,50~70×0.6~0.7μm。(图见《中国药用真菌》.21页.图7)

生境与分布:寄生于禾本科草类的子房上;其寄主多生长在草原、田野、路旁、荒地及山林间;现多以人工繁殖,在寄主植物上接种或深层培养。分布于黑龙江、吉林、辽宁、内蒙古、河北、河南、山西、陕西、甘肃、青海、山东、江苏、安徽、浙江、江西、湖北、湖南、新疆、四川、贵州等地。

拂子茅麦角与麦角极为相似,主要区别特征为菌核产生的子座具有较小的头部,其直径不到0.8mm。寄生于多种禾本科植物上。分布于黑龙江、吉林、辽宁。

生药

采集:夏、秋季麦熟时采收,阴干。药材主产于中国东北及华北地区。

鉴别

性状:麦角纺锤形,稍弯曲,两端渐尖,长1~4cm,直径2~7mm,具有钝棱及不规则的纵槽各3条;表面灰紫色或黑紫色,有细纵纹,偶见细小横裂纹。质脆,折断面平坦,边缘暗紫色,内部白色或浅红色,中央有时可见星状纹理。气特异,味微辛。

显微 横切面略呈三角形,外层为数列排列紧密的深紫色菌丝细胞,细胞壁及含有物遇酸显血红色,遇碱显青紫色(麦角红素反应);内面全为无色圆形菌丝细胞,直径3~13μm,壁厚,具较强折光性。本品细胞壁呈甲壳质反应。(图见南京药学院《中草药学》.中册.9页.图8)

贮藏:宜保持完整,彻底干燥后,密封,在干燥凉暗处保存。

化学性质

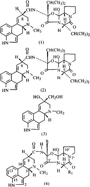
麦角菌的菌核中含有具强烈生物活性的吲哚类生物碱成分,按其结构可分为三类:第一类为麦角毒(Ergotoxin)系生物碱,都是麦角酸(Lysergic acid)的酰胺类衍生物,其中有麦角柯宁碱(Ergocornine)(1)[1]、甲基麦角柯宁碱(O-12’-Methylergocornine)[2]、麦角克碱(Ergocristine)、麦角隐亭碱(Ergocriptine)[1]、甲基麦角隐亭碱(O-12’-Methylergocripitine)[2]麦角胺(Ergotamine)、麦角生碱(Ergosine)、麦角新碱(Ergometrine)及麦角西碱(Ergosecaline);第二类为相应的麦角异毒(Ergounine)系生物碱,都是异麦角酸(Isolysergic acid)的酰胺类衍生物,其中有麦角异柯宁碱(Ergocorninie)(2)、麦角异克碱(Ergocristinine)、麦角隐宁碱(Ergocriptinine)、麦角异胺(Ergotaminine)、麦角异生碱(Ergosinine)、麦角异新碱(Ergometrinine)麦角异西碱(Ergosecalintne);第三类为棒麦角碱(Clavine)系生物碱,其中有狼尾草麦角碱(Penmclavine)(3)、肋麦角碱(Costaclavine)、裸麦角碱(Secaclavine)、田麦角碱(Agroclavine)、野麦角碱(Elymoclavine)等[1]。此外尚含有4,5-二甲基辛酸(4,5-Dimethyloctanic acid)[3]麦角甾醇(Ergoster0l)、维生素D1、酪胺(Tyramine)、组胺(Histamine)、胍基乙胺(Agmatine)、二甲胺(Trimethylamine)、甲胺(Methylamine)、己胺1(Hexylamine)、甜菜碱(Betaine)、麦角硫因(Ergothioneine)、乙酰胆碱、尿嘧啶、麦角色素如黑麦酮酸(Secalonic acid)、金黄麦角酸(Chrysergonic acid)、麦角金素(Ergochrysine)、麦角黄素(Ergoflavine)、棒麦角黄素(Clavoxanthine)、棒麦角玉红素(Clavorubine)等[1]

在深层培养的麦角菌菌株231FI中,得到麦角布亭碱(Ergobutime)、麦角布太伦碱(Ergobutyrine)、麦角宾碱(Ergobine)[4]

参考文献

[1] 中草药学.(中册).江苏人民出版社; 1976:8。
[2] J Nat Prod 1987;50(6):1065。
[3] J Nat Prod 1987;50(2):335。
[4] J Nat Prod 1993;56(4):489。

药理

①兴奋子宫 麦角可兴奋子宫,收缩子宫的主要成分为麦角新碱,作用强而持久[1,2]。 中国野生于禾本科植物黑麦、披硷草、拂子茅、赖草的麦角菌菌核,制成流浸膏,均以0.1,0.2,0.3ml/kg iv,对兔在体子宫均呈兴奋作用,0.1,0.2,0.3ml/50ml台氏液,均使兔离体子宫兴奋[3]。寄生于鹅冠草的麦角菌菌核流浸膏。0.5,1.0ml iv,可使麻醉犬子宫收缩[4]。 ②对心血管作用 在离体血管实验中,麦角胺可使周围血管平滑肌收缩,在整体动物因血管收缩而升压,并产生代偿性心跳徐缓[1]。麦角毒对心脏的作用不及对血管的作用强,但在心律慢到某种程度时,则有增强心收缩力的作用[2]。麦角胺可使血管收缩,动脉搏动幅度减少,这可能与治疗偏头痛的作用有关[1]。用麦角流浸膏给意大利种鸡im1.5ml/kg,可出现鸡冠紫绀,进而,鸡冠末梢坏死[5]。 ③对神经系统作用 大量麦角胺或麦角毒能阻断α肾上腺素能受体,使肾上腺素的升压作用翻转,它们并不能阻断交感神经介质的释放[2]。 ④抑制催乳素分泌 母羊预先用苯甲酸雌二醇及孕酮处理,每隔3d sc1次,到27d,促进乳腺增长,于d29以麦角隐亭碱18mg sc,可明显抑制催乳素的分泌[6]。麦角克碱的甲基磺酸盐2mg sc,能降低雌性大鼠血清催乳素含量[7]。麦角隐亭碱、麦角柯宁碱2mg/kg sc,每周5次,连续4wk,对二甲基苯蒽(DMBA)诱发的大鼠乳癌有抑制作用,并能降低带瘤大鼠血浆催乳素水平[8]

参考文献

[1] 药理学, 海天出版社,1993:182。
[2] Phamacol and Ther 1960:301。
[3] 药学学报 1958;6(3):135。
[4] 中华新医学报 1952;3(2):117。
[5] 安徽医学院院刊 1955;(2):16。
[6] CA 1976;84:69673y。
[7] CA 1976;84:53961e。
[8] Cancer Res 1977;37(11):3932。

药性

性味:淡,微温。有毒。《高原中草药治疗手册》:“微苦,平。有毒。”

功效:收缩子宫,止血。

主治:子宫出血,产后出血不止。 ①《国药的药理学》:“为子宫紧缩药。对于子宫出血,分娩后的弛缓性后出血……等有效。” ②《高原中草药治疗手册》:“治偏头痛。”

用法用量:内服:制成流浸膏,每次2~4ml,1日量6~8ml;或制成浸剂、丸剂、针剂等分别使用。

使用注意:《国药的药理学》:“分娩时只可用于压出期,在开口期当避免使用。”

参考文章