能够产生摆动的一种机械装置。摆的发展和研究,同钟表计时器的发展有密切的关系。意大利著名力学家伽利略首先研究了单摆,后来荷兰科学家C.惠更斯研究了复摆,他们为摆的力学理论奠定了基础。

单摆

质量可忽略的细杆,其一端悬于固定点,另一端系一质量较大的质点,受重力作用而限定在某平面内摆动的装置,称为单摆或数学摆(图1)。如以很长的细绳代替杆,摆将在较长时间内受地球自转的影响,这种摆称为傅科摆。

图 单摆摆动的力学理论

当质点偏离其平衡位置时,重力的切向分力使摆锤向平衡位置运动,到达平衡位置时,切向分力等于零,但摆锤已获得速度,由于惯性,摆锤将继续向前运动,摆锤渐渐升高,速度减小,到最高点静止,再向反方向摆动,这样往复摆动不已。重力的这种切向分力称为摆的恢复力。

若忽略空气阻力,当摆角较小时(如小于5°),可以比较精确地把摆的运动视为简谐运动,又称谐振动。这时摆的偏角θ随时间的变化规律可写作:

θθ0sinωt,式中θ0为最大偏角,称摆幅或振幅;ω为摆的角频率,也叫圆频率。若以l表示摆长,则有 公式 符号(1/秒)。摆的周期T=2π公式 符号(秒)。每秒摆动次数称为摆的频率ff=1/T,单位为次/秒或周/秒,也称赫兹(简称赫)。摆的周期T与振幅θ0无关。这一重要近似性质,称为摆的等时性。这是伽利略的重大发现,已成为钟表原理的基础。

单摆的运动微分方程

不计空气阻力为:

公式 符号

如角度θ很小,上述非线性微分方程可线性化为:

公式 符号

它的解正是上面所给出的谐振动方程θθ0sinωt。在θ不很小的一般情况下,上述非线性微分方程的解只能通过椭圆函数来表示,这时摆的运动规律不再是谐振动,周期的等时性不再成立,周期T和摆的最大偏角θ0的关系如下:

公式 符号

θ0=5°,线性化后的周期T=2π公式 符号的误差约为0.05%。

傅科摆

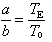
法国力学家J.-B.-L.傅科发明的用以解释地球自转的摆(见彩图)。傅科于1851年在巴黎作了表演,他用的摆是一个重62磅的铅球,悬挂在220英尺长的细钢丝下。在摆动持续的很长时间内,由于摆动平面相对惯性坐标系(例如以地心为原点、坐标轴指向恒星的坐标系)是不动的,但地球上的观察者随地球而转动,所以地上的观察者就看到摆动平面沿地球自转相反的方向转动。以T0表示摆的周期,TE表示地球自转周期,表示摆所在地的地球纬度,则摆平面的旋转周期T=TE/sin。设摆锤所画的瞬时椭圆的半长轴为a,半短轴为B,则公式 符号。利用这摆可求出地球的自转角速度和摆所在地的纬度,以验证地球自转的存在。

演示地球自转的傅科摆 复摆

在重力作用下能绕固定转轴摆动的物体,称为复摆或物理摆(图2)。

图

物体的重心不在固定转轴上。若物体质量为m,对转轴O的转动惯量(惯性矩)为I,重心C到轴O的距离为d,则摆的周期为:

公式 符号

式中g重力加速度。 复摆的运动规律和性质类似单摆。利用复摆可以测量一些刚体对某轴的转动惯量。在测量出摆的周期后,按下式可计算转动惯量:

公式 符号

复摆和单摆的运动微分方程类同,它们的运动规律和运动性质类似,故可找到一个同复摆的摆动完全一样的等价单摆。若仍取m为等价单摆的质量,则其摆长应为:

公式 符号

式中ρ为复摆对C轴的回转半径;L为复摆的等价摆长或简化摆长。

OC延长至O1使OO1L(图4),则物体上O1点的振动跟长为L=OO1、摆锤质量为m的等价单摆的振动完全相同(取初始条件相同)。因此,O1点称为以穿过O点的轴为摆轴的复摆的摆动中心。记CO1=l,则ld=ρ2。这个公式表明,如果摆轴穿过O1点,其对应的摆动中心则为O,从而证明:摆动轴与摆动中心是互逆的,摆动中心与碰撞中心重合(见碰撞)。

扭摆

由细弹性杆支承、能绕杆轴扭转的装置(图3)。

图

当物体转过一个角度,弹性轴就给物体一个恢复力矩,使它回到平衡位置;物体由于惯性将继续沿反方向转动,这时相反的恢复力矩使物体减速、停止并回转,如此往复产生扭转振动。设I为物体绕轴线的转动惯量,K为轴的刚度系数(每转单位角度时的力矩),则扭摆的周期为:

公式 符号

在恢复力矩Μ与转角θ成比例的弹性限度内,扭摆作为刚体的定轴转动,其运动微分方程为:

I嬻+=0 。这个方程和单摆的微振动微分方程一样,因此,它们的运动规律也类似,都是谐振动。

可逆摆

在摆动轴和摆动中心处安装相对的刃口支承的复摆(图4)。

图

利用复摆周期公式

公式 符号

可以算出重力加速度g。为此需要测量ITmd。但利用等价单摆,只要知道T和等价长度L,就可算出g。为此,在杆上重心C的两边分别装两个相对的刃口支承OO1,其中一个的位置可以调节。通过试验调节刃口支承的距离,使两刃口支承分别互为摆动轴和摆动中心,它们之间的距离L=d+l正好给出等价摆长。据g=4π2L/T2,可直接算出 g的值。利用可逆摆的原理可以测量物体的转动惯量。

双摆

轴互相平行,一个摆的支点装在另一摆的下部所形成的组合物体。双摆有两个摆角θ,所以有两个自由度。双摆是多自由度振动系统的最简单的力学模型之一。

等时摆

周期和振幅无关的摆。单摆的周期和摆幅有关,惠更斯于1673年研究了一种周期和摆幅无关的等周期摆,被称为等时摆。如图5所示,钢板OAOA′是旋轮线;以O点为悬挂点、m为摆锤质量的单摆,一偏离铅垂位置,便贴向OAOA′,使其有效长度(锤到切点的自由长度)减少。摆锤的轨迹是OA渐开线,它本身也是一个旋轮线,圆C是其生成圆。这种摆并未应用于实际装置。

图5 图6 双线摆

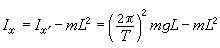
由两根细钢丝悬挂起来,使物体只能摆动而不能扭动的装置(图6)。悬线在静止时是铅直的,但在摆动中保持平行。双线摆可用来测量质量为m的物体绕某一过重心C的轴x的转动惯量Ix(x轴与过二悬挂点的x′轴平行)。测出摆的周期T,便可算出物体对x′的转动惯量Ix′,再按平行轴定理算出Ix来。设L表示二轴间的距离,其计算公式为:

公式 符号

三线摆

由三根平行线悬挂的、能绕对称轴作扭转振动的装置(图7)。

图

在双线摆不适用的情况下,如测转盘对垂直盘而且过重心C的轴x的转动惯量时,常采用三线摆。用三根线把物体悬挂起来,三根线彼此对称,并同轴x平行。当物体扭转振动时,x轴静止,物体绕x轴作扭转振动。 三线摆就表现为一扭摆。测量出摆动的周期T,就可按下式算出被测物体的转动惯量Ix

公式 符号

式中W为物体重量;R为悬挂点的半径;L为悬线长。对于不便于悬挂的物体,可把它放在圆盘上,当测出总转动惯量后,减去圆盘的转动惯量,就得到物体的转动惯量。

参考文章