络合滴定法

又称螯合滴定法。是以络合反应(见配位化学)为基础的容量分析方法,它主要以氨羧络合剂为滴定剂,较常用氨羧络合剂有氨三乙酸(NTA)、乙二胺四乙酸(EDTA)、环己烷二胺四乙酸(DCTA)、三乙四胺五乙酸(DTPA)、乙二醇二乙醚二胺四乙酸(EGTA)。这些氨羧络合剂对许多金属有很强的络合能力,在碱性介质中能与钙和镁化合成为易溶而又难于离解的络合物。瑞士的G.K.施瓦岑巴赫及其合作者详细研究了它们的化学性质,并于1945年首先提出用EDTA二钠盐滴定钙和镁以及测定水的硬度(见彩图),奠定了络合滴定法的基础。在络合滴定中大约95%以上的滴定是用EDTA二钠盐进行的。

图 络合滴定——乙二胺四乙酸滴定钙离子(钙指示剂):等当点前 图 络合滴定——乙二胺四乙酸滴定钙离子(钙指示剂):等当点时

EDTA络合物及其稳定性

EDTA的阴离子Y4-与金属离子Mn+按1∶1络合,其反应为:

公式 符号   (1)

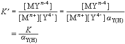
其稳定常数为:

公式 符号   (2)

式中[MYn+-4]为金属络合物的浓度;[Mn+]和[Y4-]为平衡时未络合的金属离子和EDTA阴离子Y4-的浓度。大多数络合物的稳定常数已测定(表1)。K值愈大,稳定性愈高。

图

式(1)指出,EDTA离解为四价阴离子Y4-后才与金属络合;只有在pH≥12时才完全以Y4-存在。在较低的pH下,未络合的EDTA的总浓度 [Y′]应等于[Y4-]、[HY3-]、[H2Y2-]、[H3Y3-]、[H4Y]之和。因此,在一定pH下未络合的EDTA的总浓度[Y′]与四价阴离子的浓度[Y4-]有一定的比值关系,此比值称为酸效应系数αY(H)

公式 符号   (3)

αY(H)可以根据下式求得:

αY(H)=[H+]K1+[H+]2K1K2+[H+]3K1K2K3+[H+]4K1K2K3K4 (4)

式中K1K2K3K4分别为EDTA质子络合物的各级酸度常数,即EDTA的各级离解常数的倒数。EDTA的酸效应系数见表2。EDTA络合物的稳定性受酸度的影响,在一定pH下,其平衡常数应为:

图

公式 符号  (5)

lgK′=lgK-lgαY(H) (6)

式中K′为取决于酸效应的表观稳定常数。例如,在pH=2时,Fe(Ⅲ)-EDTA络合物的lgK′=11.4,而Cu-EDTA的lgK′为5.1。酸度愈高,络合物的稳定性愈低。以金属的浓度为0.01Μ和滴定误差为0.1%时为例,要求lgK′≥8,才能为EDTA准确滴定。上例说明,在pH=2时,EDTA可以准确滴定铁(Ⅲ)而不能滴定铜。据此也可以确定滴定每一金属的pH范围:

第一组:pH=1~3(lgK>20)者,有 Zr、Th、Bi、Fe(Ⅲ)、Ga、In、Hg等。

第二组:pH=4~6(lgK=15~18)者,有铝、稀土元素、二价过渡金属等。

第三组:pH=10~12(lgK=8~11)者,有镁、碱土金属。

滴定第一组金属时,第二和第三组的金属原则上不干扰;滴定第二组金属时,第三组不会干扰;同组之间的金属相互干扰。故利用酸效应以提高滴定的选择性是有限度的,必须采取有效办法,如使用隐蔽剂或分离手段以消除干扰。

当两种金属M和M共存时,如果K公式 符号>108,而且[M]=0.01Μ和(K公式 符号-K公式 符号)>106,则可先滴定M而不受M干扰,继之可滴定M。例如,在pH2.5下滴定钍后,继续调节至pH=5~6,可滴定锌或铅。

滴定方法

直接滴定

用标准EDTA溶液直接滴定金属,以一适当指示剂确定终点。由于反应过程释放出氢离子,须使用缓冲溶液以维持pH恒定。有些金属在控制的pH下会水解,须加入一辅助络合剂以抑制之。例如,在pH=10时滴定铜、镍或锌等,可加入氨水防止水解,再用铬黑T为指示剂进行滴定。

回滴法

某些金属容易水解或与EDTA络合缓慢,或者直接滴定没有适当的指示剂,可加入过量EDTA,然后用一适当金属回滴。例如,铝离子容易聚合而又与EDTA络合缓慢,经常用回滴法测定。

置换滴定

在缺乏适当指示剂或在滴定条件下金属会水解而不能直接滴定时,除采用回滴法外,也可用置换滴定。置换反应为:

公式 符号

式中M为欲测定的金属,要求K公式 符号K公式 符号>108,使M能定量置换M而为EDTA滴定,从而间接求出M。例如,在有酒石酸的铅溶液中调至pH=10,加入过量的Mg-EDTA络合物,置换出与铅相当的镁,可用EDTA滴定而间接测得铅。另一种置换滴定法是用一种比 EDTA更强的络合剂HnZ置换M-EDTA络合物中的EDTA,用M滴定:

MY+Zn+=MZ+Yn+ (7)

最常用的方法是以氟化铵置换Al-EDTA中的EDTA,用铅或锌滴定而间接测定铝。

间接滴定

主要用于滴定那些与 EDTA 弱络合的阳离子或不与 EDTA 络合的阴离子。例如,在含铍的碱性碳酸铵溶液中加入氯化六氨合钴(Ⅲ),生成橙色沉淀[Co(NH3)6][(H2O)Be(CO3)(OH)3·3H2O],将沉淀滤出,溶解后用EDTA滴定钴而测得铍。磷酸根可以沉淀成磷酸铋,加入过量的铋后用EDTA滴定而间接测得磷。

金属指示剂

容量分析

以目视法确定终点必须借助指示剂来完成,络合滴定法不能例外。本法所用的指示剂要能与金属络合后呈相当深的颜色,络合物的lgK>5才有足够的灵敏度。指示剂络合物的稳定性要比EDTA络合物的稳定性约低3个lgK单位,终点才敏锐。此外,在同一pH下游离指示剂与指示剂络合物有显著不同的颜色,以使终点突变明显。此类指示剂称为金属(显色)指示剂。如果它能产生荧光,则称为金属荧光指示剂。铬黑T是滴定镁的良好指示剂,在pH=10时呈纯蓝色,与镁络合呈红色,其lgK′为5.4,故相当灵敏。在此pH下Mg-EDTA络合物的lgK′=8.2,大于Mg-铬黑T的lgK′(2.8),故易为EDTA夺取与指示剂结合的镁,终点敏锐,从红变为蓝色。铬黑 T与铜、镍、铁、铝等形成比EDTA更稳定的络合物,不能用作那些金属离子的指示剂。如滴定镁时有痕量的上述金属存在,则产生所谓封闭作用,阻塞了终点,可加入少量氰化钾以消除。金属指示剂除少数是无机化合物外,大都是有机化合物。已提出的指示剂为数不少,但用于实际工作中只有二、三十种(表3)。

图

除用金属指示剂确定终点外,也可使用仪器确定终点,如电位分析法、库仑滴定法、安培滴定法、紫外-可见分光光度法等,既可提高灵敏度和准确度,也可用于测定微量元素

隐蔽剂

当M和M的lgK值相差不大(小于6)时,要使用隐蔽剂(见隐蔽和解蔽)隐蔽M或M,才能滴定M或M。作为隐蔽剂必须具备下列性质:

(1)隐蔽剂与干扰离子的络合物必须比EDTA更稳定;

(2)与干扰离子生成无色或浅色的可溶性络合物,加入后溶液清晰,不影响终点判断,也不太变动溶液的pH;

(3)不降低EDTA络合物的稳定性。络合滴定法中常用的隐蔽剂列于表4。

图

应用实例

自络合滴定法提出后,许多原材料的分析大为简化,例如测定硅酸盐、石灰石、炉渣中的钙和镁。方法是在含钙、镁的溶液中加入三乙醇胺以隐蔽铁、铝、钛和锰后,在pH=12时,以钙试剂为指示剂,用EDTA滴定钙;另取一份溶液,以三乙醇胺隐蔽铁等后在pH=10时以铬黑 T为指示剂,滴定钙镁合量,两者之差为镁量。利用EGTA与镁络合很弱(lgK只有5.2)的特点,在pH=13时以钙黄绿素为指示剂,用EGTA滴定钙至荧光消失,镁不干扰。取另一份溶液,加入EGTA隐蔽钙,调至pH=10,以甲基百里酚蓝为指示剂,用DCTA滴定镁。钍的浓度不超过 5×10-3Μ时,可在pH=2.8时以邻苯二酚紫为指示剂,用EDTA滴定至黄色终点,稀土元素不干扰。滴定钍后,不能继续调至pH=5.5再用 EDTA滴定稀土(用二甲酚橙也是如此),因此时微量钍会水解,与指示剂络合呈微红色,阻塞终点。如改用DTPA为滴定剂,则滴定钍后可继续滴定稀土,因DTPA络合钍较稳定,调至pH=5.5时,Th-DTPA络合物中的钍不会水解。氟化钾能隐蔽钛和铝,而苦杏仁酸只隐蔽钛。在pH=5.5下以氟化铵置换滴定铝时,如先加入苦杏仁酸隐蔽钛,则可迅速测定铝矾土、硅酸盐中的铝。硫脲在pH=5~6时能隐蔽汞,如用以置换络合汞的EDTA而作汞的间接滴定,则铜、银、锰、镉、铁、铋、铝、锌、钴、镍等不干扰,选择性极高。

参考书目
  1. G.K.施瓦岑巴赫和H.弗拉施卡著,阎大任译:《络合滴定法》,冶金工业出版社,北京,1981。(G.K.Schwar-zenbach and H.Flaschka,Complexometric Titration, Methuen,London, 1969.)

参考文章