连续梁

有三个或三个以上支座的梁。连续梁有中间支座,所以它的变形和内力通常比单跨梁要小,因而在工程结构(如桥梁)和机件中应用很广。

连续梁属静不定结构,可用力法求解其中的内力。具体方法是,对n跨连续梁(图1a),将它在每个内部支座处断开,化成n根简支梁,并以各支座处的弯矩Μi(i=1,2,…,n-1)为多余的未知内力,就得到一个力法的基本系统(图1b),而每个内部支座左右两根梁形成一个单位系统(图2)。

图1ab 图2

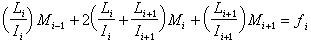
根据转角的连续条件,支座左右梁端的转角应该相等,即θ公式 符号=θ公式 符号,运用单位载荷法计算该转角,可得到力法的方程组。对于用同一材料制成的连续梁,这组方程为:

公式 符号

(i=1,2,…,n-1),

式中Li为第i个跨的跨距;Ii为第i个跨上的梁截面的惯性矩(见截面的几何性质);公式 符号i是第i个支座的单位系统中各外载荷(集中力、分布力、力矩)的函数,外载荷给定后,它就是确定的。由于每个方程中含有三个支座力矩,所以这个方程组称为三弯矩方程组,简称三弯矩方程。它的系数矩阵为三对角线矩阵。通过上述方法得到的三弯矩方程,便于在数学上求解(见变形分配法)。

最早得到三弯矩方程的是法国的 B.P.E. 克拉珀龙(1849)和H.贝尔托(1855),他们得到的方程组只适用于支座等高、跨距相等并受均布横向载荷的连续梁。后来德国的H.舍夫勒等人将方程组推广到支座不等高的情况。法国的J.布雷斯进一步又推广到跨距不等并且载荷任意分布的情况。20世纪初,捷克斯洛伐克的K.A.恰利谢夫和美国的H.克罗斯为便于工程运用,又提出逐次近似的力矩分配法。50年代后期以来,发展出用有限元法解连续梁的多种标准程序。

参考书目
  1. S.铁摩辛柯、J.盖尔著,胡礼人译:《材料力学》,科学出版社,北京,1978。(S.Timoshenko and J.Gere,Mechanics of Materials,Van Nostrand Reinhold Co.,New York,1972.)
  2. 孙训方等编:《材料力学》,人民教育出版社,北京,1979。