[拼音]:liudong moxing
[外文]:flow model
定量描述非理想流动情况的模型,主要用于装置的设计和放大。主要的流动模型有:
分散模型适用于偏离平推流(见流动模式)程度不太大的系统,如管式、塔式和颗粒填充床等装置。在这些装置内流体的涡流导致不同程度的轴向返混,因此可仿照一般分子扩散,用一分散系数DB表征这种轴向返混,由物料衡算可导得它的基本方程:
,
式中C为浓度;t为时间;l为轴向距离;u为流体速度。如令C*=C/C0,Z=l/L,θ=t/
=tu/L,其中C0为入口浓度;L为管(或床层)的总长度;
为平均停留时间,则得上式的无量纲形式:
,
式中
=uL/DB,称佩克立数。用它表征返混程度。对全混流,DB=∞,
=0;对平推流,DB=0,
=∞。
结合边界条件求解上式,获得出口浓度随时间变化的结果后,再与实验结果相对照,可定出DB值,但多数情况下不能得解析解。对返混很小和返混颇大的情况,其结果如下:
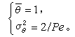
(1)返混很小(1/Pe<0.01)时,停留时间分布函数(见停留时间分布)为:
,
且有:
这时分布曲线是高斯分布,其特征表示在图1之a中,由此可定出
或DB值。图1之b表示
值大小对分布宽度的影响,
愈小,分布愈宽,返混愈大。
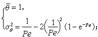
(2)返混颇大(1/
>0.01)时,分布曲线变宽并拖尾,而且进出口处的情况对分布有很大影响。图2表示几种不同的边界情况。图中的“开式”或“闭式”是指在进出边界处流动模式不受干扰或在边界外为平推流的两类不同情况。对应不同边界情况的
和
如下:
闭式 
开式
在有化学反应的情况下,基本方程中还应有相应的反应速度项。如对于稳态—维流动和反应对所研究组分A为n级的情况,有:
,
如果n=1,上式有解析解;其他可用数值解。
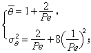
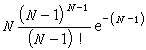
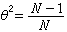
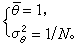
多槽串联模型
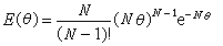
把实际装置设想成相当于由 N个等容积的全混槽串联而成的模型。其停留时间分布函数为:
,
且有:
这种分布函数如图3所示。其中
曲线最高点在
处, 如果N>5,则近似地为
。根据实测的E(θ)曲线并参照图3所示的特性,便可定出模型参量N。
组合模型
为描述复杂的非理想流动,把实际装置中的流动设想成由平推流、全混流、死区、循环流和短路等基本单元按照不同的组合而作出的种种不同模型。至于物料的停留时间分布函数则可由各基本单元的停留时间分布函数按模型构想综合导出。