[拼音]:zhengze peifen hanshu
[外文]:canonical partition function
正则系综的重要数量,它决定了在正则系综的最可几分布中,能量在体系间的分配方式。正则配分函数Q可用下式表示:
式中Wi代表能量,为Ei的体系的微观状态数,相当于体系处于Ei能级的简并度;k为玻耳兹曼常数;T为热力学温度。正则系综中各体系的能量可以有很多种分配方式,在满足
的条件下(式中 Ni为具有Ei的体系数,愛为系综的总能量;N为体系总数),利用概率论和拉氏未定乘因子法可以得出,在最可几分配方式中,能量为Ei的体系在系综中出现的几率Pi为:
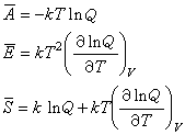
封闭恒容体系的各热力学量的平均值也可由正则配分函数Q求出。亥姆霍兹函数的平均值
、平均能量唕、平均熵宑为:
根据经典热力学,在恒温、恒容的封闭体系中,平衡态相当于A 极小值的状态。从A与lnQ的关系可以看出,A极小相当于lnQ极大,所以在正则系综中,对于恒温、恒容封闭体系可以用lnQ判断过程进行的方向,即:
ζ 为反应进度,等号表示平衡态,不等号表示自发过程。上式称为正则系综的第二定律表达式。