[拼音]:fenqi lilun
[外文]:bifurcation theory
研究在一带参数的动力体系中平衡态随参数变化时个数发生变化的现象,特别是平衡态由一个分裂为二个或多个的现象。近年来由于实际问题中不断涌现出大量的分歧问题,也由于在理论上建立了较系统地处理这类问题的方法而发展成为一个独立的数学研究方向。
自然界广泛出现分歧现象。例如,沿轴向加压的弹性圆柱杆(图1
)。若以轴向外力λ为参数,当λ由0逐渐增大时,杆开始变为粗短,但其中心线则保持挺直;而当λ越过某一定值λc时,杆的中心线由直变弯。因为对一切外力λ,直杆都是一种平衡态,所以当λ<λc时,只有一个平衡态,而当λ>λc时则至少有两个平衡态:直的与弯的。
旋转流体随角速度增大,由水平层流分裂为泰勒旋涡以及更复杂的周期、双周期结构;水平传导板之间随温差之增大,由热传导分裂出热对流;化学反应中,随浓度之增大,温度分布出现多重平衡态;以及氢气的自燃、双星的裂变等等都是分歧现象。
在数学上,用算子方程
(1)
的解来描写系统的平衡态,其中λ是参数,而x则属于某向量空间。用Sλ表示固定λ时满足(1)的x的集合即解集,所谓λ0是一个分歧点,是指对于λ0的一个邻域 V,存在x∈Sλ的一个邻域U,以及λ1、λ2∈V,使得
与
不是同胚的。然而,通常流行的说法则是下列比较直接的描述:设x=θ总满足(1),即F(θ,λ)呏0。一点(θ,λ0)称为分歧点,是指在它的任意邻域内都含有(1)的非θ解。
分歧的数学理论主要研究以下几个问题:
(1)一点成为分歧点的充分必要条件;
(2)在分歧点附近,解集的构造;
(3)对分歧点局部的了解能否导出有关解集的整体性结论。
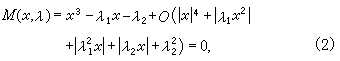
由隐函数定理可知,若(θ,λ0)是分歧点,则必须偏导数 Fx(θ,λ0)是奇异的。但它不是一个充分条件。在一些特殊情况下,可以利用线性化算子Fx(θ,λ0)的谱来作判断,然而常用的办法是通过有穷维约化手续(李亚普诺夫-施密特手续或中心流形理论)将(1)约化为有穷维方程组,再利用各种特定条件把这有穷维方程组在(θ,λ0) 邻近的解集行为归结到相应的截断泰勒展开式去研究。例如,若这约化后的方程在(x,λ0)=(θ,0)附近呈下列形式:
式中x∈R1,而
,则可以通过适当的坐标变换将其化为方程
(3)
通过在参数空间(λ1,λ2)上观察(3)的解集个数的变化,可以回复到(2)的分歧行为,不难看出,尖点方程

决定的曲线正是解集个数变化的分界线,称为分歧曲线(或面)。观察图2
,其中a为解集曲面;b显示了分歧曲线,解的个数在此曲线两侧各为1个与3个;c是在λ2=0平面上解集曲面之截口;d为λ2>0固定时解集曲面的截口。
有许多情况约化方程组不能归结到相应的泰勒展开式,这在退化阶数高而参数空间维数不够的时候经常发生。此时往往要利用约化方程的特性去获得有关分歧曲面的知识。
从分歧点的局部性态不容易获得解集的整体性质。这方面人们知道得很少。P.H.拉宾诺维茨利用拓扑度方法讨论了从奇数重特征值分歧出的连通分支在整体上的几种可能性,它被应用于讨论非线性斯图姆-刘维尔问题解的个数。例如,
式中λ是参数。当
时,此方程正好有n个非平凡解,这里λn是对应的线性化方程的特征值,n=1,2,…。
因为分歧问题来自动力体系中平衡态个数的变化,在物理上,人们关心哪个平衡态是稳定的,所以经常要讨论分歧前后解的稳定性。在微分方程中平衡态通常表现为平衡点、周期轨道、拟周期轨道或异常轨道。从平衡点分歧出周期轨道的分支称为霍普夫分支。