水文地质参数

表征岩土储存、释出和输运水、溶质或热的特性的定量指标。常用的水文地质参数有下列各种:

有效空隙率

空隙率是指岩土的空隙体积与岩石体积(包括骨架和空隙体积)之比。孔隙、裂隙和岩溶化岩层的空隙率,分别称为孔隙率、裂隙率和岩溶率(喀斯特率)。然而,对于地下水的储存、释出和运动,并非全部空隙都起作用,因此提出有效空隙率的概念。从不同角度赋予有效空隙率以不同涵义。孤立空隙对于地下水的储存、释出和运动都是无效的;从这个角度出发,将岩土中相互连通的空隙体积与岩土体积之比称为有效空隙率。有的文献将此种涵义的有效空隙率称为空隙率。饱水岩土在重力作用下释水时,结合水和部分毛管水所占据的那部分空隙是不能释出水的。因此,从释水角度,有效孔隙率是指重力作用下能够释水的那部分空隙体积与岩土体积之比。对于重力地下水的运动来说,结合水所占据的那部分空隙基本不起作用。这种情况下,有效空隙率是指重力地下水能够通过的那部分空隙体积(空隙体积减去结合水所占据的体积)与岩土体积之比。

含水率

岩土中水的体积与岩土体积(包括固体、水和气体的体积)之比。在工程地质学中,经常使用重量含水率(含水量),其定义是,岩土中水的重量与岩土重量之比。

饱和度

岩土中水的体积与空隙体积之比。

给水度

当潜水位下降一个单位时,单位水平面积自潜水面至地面的柱体中由于重力作用所排出的水的体积。

持水度

岩土的空隙率或饱和含水率与给水度之差。

储水系数

承压含水层中,当水头下降(或上升)一个单位时,由于水和介质的变形,单位水平面积含水层柱体所释放(或储存)的水的体积,即

S=Mγ (W+βS)式中S为承压含水层的储水系数,也称弹性给水度;M为承压含水层的厚度;γ为水的重率;n为空隙率;βW 为水的体积弹性压缩(或膨胀)系数;βS为岩土的体积弹性压缩(或膨胀)系数。储水系数通常用于地下水水平二维承压流动问题的计算。

比储水系数

当水头下降(或上升)一个单位时,由于水与介质的变形,含水层单位体积所释放(或储存)的水的体积。也称比弹性给水度或储水率。这个参数通常用于存在垂向分流速的地下水流动问题。

渗透系数和渗透率

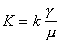
渗透系数是表征在水力坡度作用下岩土输运地下水的能力的参数,又称水力传导系数(见达西定律)。因此,其数值不仅取决于岩土的特性,同时也与通过岩土的地下水的物理性质有关,即

公式 符号

式中K为渗透系数;k为岩土的渗透率;γ为地下水的重率;μ为地下水的动力粘滞系数。

渗透率也称渗透度,表征岩土本身输运流体能力而与流体的性质无关的参数,它仅仅取决于岩土的空隙性(空隙的大小、空隙率、空隙的形状和空隙的曲折性等)。因此,对于同一种岩土,渗透率是个定值;渗透系数则随水的物理性质的差异而不同。

在各向同性的岩土中,渗透率与渗流方向无关;对于各向异性的岩土,渗透率则随渗流方向而变。

在非饱和岩土中,渗透系数K和渗透率k为含水率的函数,不是一个定值。

含水层导水系数

含水层的渗透系数K与厚度M的乘积。表征含水层的输水能力。

在水平二维流动中,当水力坡度 I=1时,含水层导水系数在数量上相当于单位宽度流量。

含水层压力传导系数

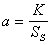
岩土的渗透系数与比储水系数之比,即

公式 符号

式中a为压力传导系数;K为渗透系数;SS为比储水系数。

对于水平二维承压运动,压力传导系数是含水层导水系数与储水系数之比,即

公式 符号

式中 T为含水层导水系数;M为承压含水层厚度;S为承压含水层储水系数。

越流系数

当抽水(或注水)含水层的顶板或(和)底板为弱透水层时,在垂向水头差作用下,相邻含水层或(和)顶底板弱透水层中的水就会流入抽水含水层(或者相反,由注水含水层流出),这一现象称为越流。这种情况下,包括抽水(或注水)含水层、弱透水层和相邻含水层在内的含水层系,称为越流系统。在天然条件下,只要越流系统中存在垂向水头差,就可以发生越流。

弱透水层的垂向渗透系数(K姟)与该层厚度(M 1)之比,称为越流系数。若弱透水层的释水量可忽略不计,则越流系数在数值上相当于抽水(或注水)含水层与相邻含水层的水头差为1时的越流强度即单位时间通过抽水(或注水)含水层顶面和底面单位面积的水量。

非饱和岩土的容水度

非饱和岩土中水与空气的界面上的压强存在不连续性,这个压强差称为毛管压强。毛管压强与水的重率之比称为毛管压力水头,简称毛管压头。非饱和岩土的含水率随着毛管压头的增大而减小。当毛管压头降低一个单位时,单位岩土体积所储存的水量的增量(即含水率的增量)称为非饱和岩土的容水度,也称非饱和岩土的比储水系数。

非饱和岩土的扩散系数

非饱和岩土的渗透系数与非饱和岩土的容水度之比值。

水动力弥散系数和岩土弥散度

岩土孔隙中水质点流动速度的大小和方向不等以及分子扩散作用,使得两种或多种组分流体(例如某种可溶于水的污染组分与地下水)在地下水流中浓度逐渐平均化,这种现象称水动力弥散。水动力弥散系数是表征在浓度梯度作用下,某种组分通过岩土的能力的参数。它的大小不仅与岩土的空隙几何特征有关,而且也取决于地下水的空隙平均流速和该组分的分子扩散系数。弥散度是描述岩土固有的弥散能力的定量指标,其值只依赖于岩土的空隙几何特征。

岩土等效热容量

岩土中液相、固相和气相具有不同的热容量。若将岩土视为整体,则其整体的引用热容量称等效热容量。对于饱和岩土,其表达式为

公式 符号

对于非饱和多孔介质为

公式 符号

式中Ce为岩土等效热容量;n为孔隙率;ρS为岩土固相的密度;CS为岩土固相的比热;SW为水相饱和度;ρW为水的密度;CW为水的比热;ρg为气相的密度;Cg为气相的比热。

岩土等效导热系数

饱和岩土中液相和固相具有不同的导热系数,若将岩土视为整体,则整体的引用导热系数称等效导热系数。它与所取的热传导模型有关,对于并联式传导模型(假定液相与固相平行传导而不发生热交换),则

λe=nλW+(1-n) λS对于串联式传导模型(假定液相与固相相间传导,在两相介面上发生热交换),则

公式 符号

式中λe为岩土等效导热系数;n为孔隙率;λW为水的热传导系数;λS为固相的热传导系数。

参考书目
  1. 陈崇希著:《地下水不稳定井流计算方法》,地质出版社,北京,1983。
  2. J.贝尔著,陈崇希、李竞生译:《多孔介质流体动力学》,中国建筑工业出版社,北京,1983。(J. Bear,Dynamics of Fluids inPorous Media, American Elsevier,New York,1972.)