[拼音]:rexishu
[外文]:thermal coefficient
衡量均匀工质特性的体膨胀系数、定温压缩系数、绝热压缩系数和相对压力系数。
(1)体膨胀系数(αv):定压下体积随温度的相对变化率,即
式中 V、T、p分别代表体积、温度和压力;下角标 p表示发生的过程是在定压条件下进行的。对于固体和液体,αv只随温度和压力发生些微的变化,因此当温度变化不大时,αv可当作常数;对于理想气体,αv=1/T。
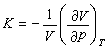
(2)定温压缩系数(K):定温下体积随压力的相对变化率,即
式中"-"号表示体积将因压力增大而缩小。对于固体和液体,K值随温度和压力的变化甚小,因此可看作常数;对于理想气体,K=1/p。
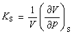
(3)绝热压缩系数(KS):绝热条件下体积随压力的相对变化率,即
式中下角标"s"表示绝热。一般地,KS ≯K;水在4℃时,KS=K。
(4)相对压力系数(αp):定容下压力随温度的相对变化率,即
对于理想气体,αp=1/T。
各个热系数间的关系是: