[拼音]:jiasuqi shengchan de fangshexing hesu
[外文]:accelerator-produced radionuclides
用加速器产生的高速带电粒子轰击含有选定的稳定核素的靶,可制备很多种放射性核素(见放射性),包括中子核反应和光子核反应能产生的核素。加速器生产的放射性核素常称为加速器放射性核素。狭义的加速器放射性核素主要是指反应堆中子不能生产的贫中子(也称缺中子或中子不足)放射性核素(原子核的中子与质子之比,较相近稳定核素的小)。加速器放射性核素的品种较多,约占目前已知放射性核素总数的60%以上。它们多以轨道电子俘获或β+衰变方式衰变,发射单纯的低能γ射线、X射线或β+射线。加速器放射性核素常可以得到无载体形式的,它的产量远比反应堆生产的小,在应用中只是反应堆放射性核素的补充,但由于它在工业、农业,尤其是生物医学方面具有特殊的用途,其用量不断增加,现已成为放射性核素生产不可缺少的方面,并形成了专门的领域。
简史
1934年人工放射性核素发现后,回旋加速器就用于制备放射性核素,使人工放射性核素在三年内很快就从3个增加到197个,其中有少量放射性核素如碘 131、磷 32、碳14等有商品供示踪用。1945年后反应堆开始大量生产并供应廉价的放射性核素,一度使量少价昂的加速器放射性核素的生产受到影响。到60年代中期以后,人们逐渐发现贫中子核素的许多特殊的、具有重要意义的用途,如钴57、钠22、镉109等在穆斯堡尔谱、正电子湮没技术和X射线荧光光谱分析中的应用,镓67、铊201、碘123等在核医学诊断中的应用,碳11、氮13、氧15等短寿命核素在生命过程动态研究中的应用等,都是反应堆放射性核素所不能取代的。于是加速器放射性核素的研制、生产又开始复兴。世界上用于生产放射性核素的加速器,60年代初不到5台;70年代初就增加到近20台;而80年代初则猛增到100余台;其中专供商品放射性核素生产的加速器也有十多台。80年代中期经常生产的加速器放射性核素品种达30多种。在医学诊断方面贫中子放射性核素的消费量相当大,有些已超过,个别的已逐渐取代某些反应堆生产的放射性核素。
生产方法
加速器放射性核素的生产涉及加速器、核反应、靶子的制备和产物的分离纯化等,需根据具体情况选择生产方法。
加速器可用于生产放射性核素的加速器有静电加速器、直线加速器和回旋加速器等,但回旋加速器最适用。加速的带电粒子主要是P (质子)、d(氘核)、3He核和α粒子(4He核)四种,束流强度为十几到几百微安。回旋加速器大多采用等时性方位变化场设计,并有不同的类型。紧凑型回旋加速器结构紧凑,设施简便,加速P、d、α、3He能量达15~52兆电子伏,流强在50~200微安之间,适于生产镓67、铟111、铊201、碘123等一般中、短寿命的核素。微型回旋加速器的体积很小,操作容易,建造费用低,质子的加速能量达15~20兆电子伏,氘核8~10兆电子伏,3He、α粒子能量达15~30兆电子伏,流强可达30~100微安,适于建在医院内,就地制备碳11、氮13、氧15、氟18等短寿命核素。
少数大型的加速器(称为介子工厂)产生的质子能量达200~800兆电子伏,流强达0.2~1毫安,可利用它产生介子后剩余的较强束流引起的散裂核反应,来制备较长寿命的核素或一般情况下难以制备的核素,例如锶82、铁52等。
核反应带电粒子与靶核作用发生核反应时,如属放热反应,带电粒子的能量必须足以克服该核电荷的库仑势垒;如属吸热反应,带电粒子必须大于某一确定能量(阈能),才能发生核反应。核反应截面与入射粒子能量的函数关系称为激发函数。激发函数是计算核反应产额的重要依据之一。常用的核反应有:(p,n)、(p,2n)、(p,3n)、(p,α)、(d,n)、(d,α)、(α,2n)、(3He, 2n)、(3He,3n)等。核反应的选择要根据所用加速器的具体性能,按照放射性核素产额高而杂质核素少的原则来确定。在实际生产中,除了所期的核反应外,往往有几种核反应同时发生,但可以控制条件以保证主要反应的进行。
靶加速器用的靶材料需要有较高的靶核含量、良好的耐热和散热性能,发生有害副反应的成分和杂质少,并便于进行生成放射性核素的分离和纯化。由于一种元素往往有几种同位素,核反应后会生成一些不需要的核素,有时需要使用富集靶核的靶材料制靶。制靶的方法有焊接、电镀、烧结等,即要使靶牢固、导热好、装卸方便,又不影响产物的纯度。
分离纯化将轰击后的靶直接干馏或溶解,再经过蒸馏、萃取、层析和共沉淀等步骤,将产生的放射性核素分离、纯化。选用的流程要求效率高、不引入载体、速度快。对寿命很短的放射性核素还要求能在线直接合成标记化合物。
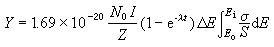
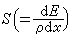
产额带电粒子与靶核反应的产额 Y(微居)是反应截面σ(靶恩)、放射性核素的衰变常数λ、靶核数目N0(每千克靶子)和入射粒子的电荷数Z、流强I(微安)、能量E、阻止本领
、轰击时间t等的函数:
Ei和Eo分别为入射和出射粒子的能量;ρ为靶子密度(千克/米3);x为射程(米)。
应用
加速器生产的核素应用的领域很广。在工业和科学研究中,钴57、钠22、镉109可作为穆斯堡尔效应、正电子湮没技术、X 射线荧光分析用的放射源。在农业和环境保护中,钾43、砷74、铅203可用作示踪原子,在医学上的应用更为广泛。柠檬酸镓67用于肿瘤诊断,能显示其部位,也能用于淋巴结、肺、骨等显像。铟111标记的二亚乙基三胺五乙酸可用于脑显像,铟111标记血小板可用于副脾诊断。碘 123标记的碘化钠用于诊断甲状腺疾病时,对病人产生的辐射剂量只有碘131的百分之一,用碘 123标记的脂肪酸、邻碘马尿酸可分别用于心肌、肾脏疾病的诊断。铊 201标记的氯化铊可用于诊断心肌梗塞。半衰期很短的81Krm(从81Rb-81Krm发生器产生),可用于诊断肺的阻塞、肺气肿、支气管炎等。碳11、氮13、氧15、氟18标记的生物分子能以完全与天然物质一样的生化行为显示活体内代谢动态的图像,并能在正电子计算机化断层照相仪(PECT)上比较精确地给出三维空间的位置。