[拼音]:Di’ersi-A’erde juhe
[外文]:Diels-Alder polymerization
环戊二烯或环己二烯自身反复地进行的 [4+2]环化加成聚合,一般只得低分子量的聚合物。环己二烯的聚合为:
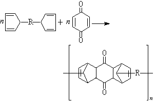
式中n=4,此反应得不到高分子量的聚合物,主要的原因是由于所形成的加成物中的烯键不很活泼,只有改用具有吸电子基的双亲二烯体(苯醌)和双二烯体反应,才能得到分子量较高的聚合物:
用双顺丁烯二酰亚胺代替苯醌,同样能顺利制得较高分子量的聚合物。尽管如此,从高分子材料的角度来衡量,上述高聚物的分子量还不算高(其比浓粘度远小于 1),原因是:通过狄尔斯-阿尔德聚合反应所得到的聚合物在高温下会发生逆反应。
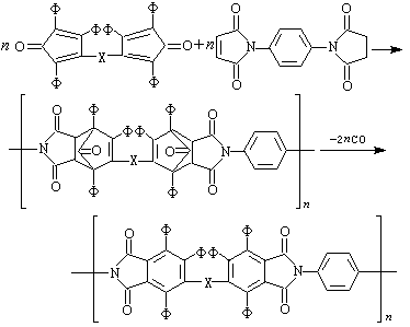
用双环戊二烯酮为双二烯体,双炔基化合物或双顺丁烯二酰亚胺为双亲二烯体进行狄尔斯-阿尔德聚合反应时,可以脱去CO,反应为不可逆的,因此可以获得高分子量的聚酰亚胺:
式中Φ代表苯基,X代表-C6H4-O-C6H4-,所得高聚物的特性粘度一般在0.3以上,有时达到1。由于聚合物具有多芳基共轭体系结构,其耐热性很好,有的在550℃还保持稳定。