运动稳定性

研究干扰力对系统运动状态(坐标、速度及其函数等)的影响,从而建立判别运动状态是否稳定的法则。干扰力对不同的运动状态产生不同的影响。如果干扰力对某些运动状态的影响并不显著,即随着时间的发展受干扰的运动状态(受扰运动)与不受干扰的运动状态(无扰运动)相差很小,就称这些运动是稳定的;否则是不稳定的。

在现代科学技术中,如火箭的飞行、机器的运转以及电力的传输等,都必须研究稳定性问题。设计飞机时要选择稳定的方案,以确保飞机安全飞行。对于战斗机,当机身急速滚翻时,必须防止攻角过大而失速,否则有陷入大螺旋(尾旋)的危险。这就是飞机大扰动的稳定性问题。

简史

“稳定性”一词来自拉丁文“stabilitas”,其含义是“恒定性”。17世纪中叶,学者们就曾研究太阳系的稳定性问题,即随着时间的无限增大,行星是否会无限接近或远离太阳,或处于稳定状态中。J.-L.拉格朗日证明了平衡状态的稳定性定理:如果势函数在平衡位置是严格极小,则该平衡状态稳定(见力学系统平衡位置稳定性)。E.J.劳思和Н.Е.儒科夫斯基也曾研究过稳定性问题,但仅限于一些特殊情况,而且方法也不严格。

19世纪末,由于生产技术的需要和数学、天体力学的发展,在H.庞加莱有关理论的启示下,A.M.里雅普诺夫从理论上对运动稳定性的普遍问题作了严格的论证和系统的分析,提出了解决运动稳定性问题的两个方法。第一方法是通过求解微分方程来分析运动的稳定性。第二方法(直接法)是所谓定性方法,它不需求解微分方程,而是寻求具有某些性质的函数,使这些函数与微分方程相联系,就可以控制积分轨线的动向。从几何上讲,就是要建立一族封闭的、彼此不相交的曲面(在平面上就是一族封闭的、彼此不相交的曲线),去包围它们的坐标原点;同时还要求构造的函数在与微分方程相联系后,能够控制积分轨线由外向里地(或反向)与每一个曲面(或曲线)相交。一旦找出具有这种性质的函数,运动稳定性的问题就可得到解决。里雅普诺夫第二方法是目前解决运动稳定性的基本方法,已在应用数学、陀螺力学、自动控制、航空和航天事业中得到广泛应用。

内容和研究方法

为进一步了解运动稳定性问题,下面分别介绍系统受扰运动微分方程、运动稳定性的基本概念、里雅普诺夫定理以及按首次近似判别稳定性的方法。

系统受扰运动微分方程

描述力学系统的非线性微分方程组为:

夻=G(ty),         (1)

式中y=(y1y2,…,yn)为n维矢量,表示运动状态;t为时间;Gyn的矢量函数。考察式(1)的某个特解y=g(t),如果取它是无扰运动,则同它相比较的其他运动,就是受扰运动。如果干扰力对运动状态的影响仅体现在初始条件的改变上,故无扰运动和受扰运动对应不同的初始条件而满足同一个运动微分方程。可以引进坐标变换:

x(t)=y(t)-g(t),

式中y(t)为受扰运动;g(t)为无扰运动;x(t)为二者的差值,称为扰动。扰动所满足的运动微分方程,就称为受扰运动微分方程:

夶=F(tx)。        (2)

系统的每种运动都对应受扰运动微分方程 (2)的一个特解。无扰运动对应零解x0,并且F(t0)=0。以后就研究零解的稳定性问题。

如果方程(2)的右端函数F(tx)显含时间t,就称无扰运动是非定常的,或称此动力体系为非定常系统(非自治系统)。单摆振动的受扰运动微分方程,就是一类比较简单的非定常运动。有关振动的稳定性问题,经常是归结到这一类方程中去研究。河水暴涨时,水质点的运动也是非定常的,或称它是非定常流动。如果方程(2)的右端函数F(x)不显含时间t,就称这种无扰运动为定常的,或称系统为定常系统(自治系统)。这类系统虽然比较简单,但是许多实际问题都可以由它们来描述,例如刚体绕固定点转动的拉格朗日情况(见重刚体定点转动)。

运动稳定性的基本概念

给定某一区域Ω

x‖≤H, tt0

t0为初始时刻;t0H为正的常数,且H厵0;‖x‖为矢量x的范数。设方程(2)的右端函数F(tx)在区域Ω内连续并满足微分方程解的唯一性条件。如果对于任何正数εH,无论它多么小,总可选择另一个正数η(ε),当初始状态xt0)满足‖x(t0)‖≤η时,对于所有tt0,‖xt)‖<ε成立,则称无扰运动稳定。 这时,从球S2(η)(‖x‖=η)内出发的每一条轨线,将永远逗留在球S1(ε)(‖x‖=ε)内(图 1的C1)。反之,则称为不稳定;即不论η如何选择,总有一条轨线从球S2(η)内一点出发后,最终要到达球S1(ε)(图1 的C2)。如果无扰运动是稳定的,并且η可以选择得如此之小,使得当xt0)满足‖x(t0)‖≤η,对于t→∞,‖x(t)‖→0成立,则称此无扰运动为渐近稳定;即从球S2(η)内出发的每一条轨线,将趋向于零点(图1)的C3。 具备这一性质的全部初始状态的集合,称为渐近稳定性区域。如果该区域是整个空间,则称系统是全局渐近稳定(大范围渐近稳定)。

为便于研究,还需引入实变量的实函数V(tx),它在区域Ω内是单值连续的,且V(t0)=0。当x0时,如果V(tx)≥0,就称为正的常号函数;而V(tx)≤0,则称为负的常号函数。对于不显含时间t的函数V(x),如果V(0)=0,且x0时,V(x)>0,就称为正的定号函数;而V(x)<0,称为负的定号函数。对于显含时间t的函数V(tx),如果V(t0)=0,且x0时,V(tx)≥W(x)[W(x)是不显含时间t的正的定号函数],就称为正的定号函数;而-V(tx)≥Wx),称为负的定号函数。如对于任一正数δ,不论它多么小,总可找到另一正数λ,使得对于所有tt0和‖x‖≤λ,│V(tx)│<δ成立,就称函数Vtx)具有无穷小上界。由于受扰运动微分方程(2),可求出V(tx)对时间t的全导数妭(tx)=(墷V)TF(tx)+公式 符号,这里( )T表示转置。如果x(t)是受扰运动微分方程(2)的解,则妭[tx(t)]是函数V沿解的变化率。

里雅普诺夫定理

俄国数学家和力学家A.M.里雅普诺夫于1892年发表了有关运动稳定性的论文,证明了以下定理:

(1)稳定性定理 对于受扰运动微分方程,如果可以找到一个定号函数V,由于这些方程,使得它对时间t的全导数妭成为与V异号的常号函数,或恒等于零,则无扰运动稳定。

(2)渐近稳定性定理 对于受扰运动微分方程,如果能够找到一个具有无穷小上界的定号函数V,由于这些方程,使得它对时间t的全导数妭成为与V异号的定号函数,则无扰运动渐近稳定。

(3)不稳定性定理 对于受扰运动微分方程,如果能够找到一个具有无穷小上界的函数V,由于这些方程,使得它对时间t的全导数妭是定号函数,而且对于任意小的‖x‖值和大于某个常数的任何t值,函数V的值可以与它的导数妭同号,则无扰运动不稳定。

里雅普诺夫曾证明过两个不稳定性定理。但它们有很大的缺点,即要求函数VΩ的全部区域内具有一定的性质。事实上,对于不稳定性问题的分析,只需知道函数V在某一部分区域内的性质就够了。 Н.Г.切塔耶夫已在其不稳定性定理中推广了它们。

在许多工程技术问题中,虽然就全系统而言可能不稳定,但对于某些变量(或这些变量的函数)而言还可能稳定或渐近稳定,这就是所谓部分变量稳定性问题。这是运动稳定性中更有普遍意义的命题。研究这个问题不仅对于有限自由度的一般系统有用,而且对于大系统(由诸子系统组成的复合系统) 和空腔充有液体的无穷多自由度的混合系统(或称复杂系统)也有用。关于部分变量稳定性的命题,是里雅普诺夫最先提出的,后由И.Г.马尔金作了阐述,但没有作出证明。实际上,切塔耶夫的不稳定性定理是研究部分变量不稳定性问题的基础,而B.B.鲁缅采夫首次证明了关于部分变量的稳定性定理和渐近稳定性定理。

里雅普诺夫定理以及其他一些推广的稳定性定理,一般地说都是给出分析系统稳定性的充分条件。它们对于线性和非线性系统、定常和非定常系统都是适用的。对于某些问题,经常要用到稳定性定理,如陀螺系统稳定性等。对于控制系统,经常用到的是渐近稳定性定理。另一方面,又可用不稳定性定理来预测不稳定性的设计方案,以避免事故。

能满足里雅普诺夫定理的函数V,称为里雅普诺夫函数,而构造合适的函数V,是应用第二方法(直接法)的基础。在某些情况下,如果取系统的能量函数作为函数V,可以得到一些比较好的结果。但在一般情况下,则不成功。里雅普诺夫函数是一个比能量函数更加广泛的概念,它有时为标量函数,有时为矢量函数,也可以是泛函。构造里雅普诺夫函数并不容易,到目前为止,还没有找出统一法则,只能针对一些实际问题提出一些有效方法。如利用首次积分构造函数的切塔耶夫法,对控制系统构造函数的卢里耶法,里雅普诺夫矢量函数法,利用数字电子计算机构造函数法,等等。另外,也可以推广已有的稳定性定理,从而减弱对所需函数条件的要求等。

下面就一个二维非线性系统的问题来分析它的稳定性。该系统的微分方程是:

公式 符号

式中α为正的常数。如果取零解x1x2=0为无扰运动,那么式(3)即为对应的受扰运动微分方程。 如果选函数V(x1x2)=x娝+x娤,由于受扰运动微分方程(3),妭[x1(t),x2(t)]=2x11+2x22=-2α(x娝+x娤)2。因为V不显含时间t,又有连续性,所以是一个具有无穷小上界的正的定号函数,而其导数妭是负的定号函数。因而所构造的函数V满足里雅普诺夫定理的无扰运动渐近稳定条件。

里雅普诺夫函数V有比较明确的几何意义。 对于相空间,函数V(x1x2)表示空间中点(x1x2)到原点(0,0)之间距离的度量,即在原点(0,0),函数V(0,0)=0;而当x1厵0,x2厵0时,函数V(x1x2)>0。由于受扰运动微分方程,妭[x1(t),x2(t)]<0,所以空间中的瞬时点[x1(t),x2(t)]到原点(0,0)之间的距离将随着时间t的不断增加而连续地减小,即当t→∞时,x1(t)→0,x2(t)→0。这就是里雅普诺夫渐近稳定性定理的直观意义(图2)。

图 按首次近似判别稳定性

下面分析一类非线性定常系统,它可用下面的方程来描述:

夶=Ax+(x),        (4)

式中A是常矩阵;xn维状态矢量,(x)是n维矢量函数,它的每一个分量在区域Ω内可展成x的幂级数,且展开式的起始项不低于二次。当略去非线性项(x)后,可得式(4)的首次近似方程夶=Ax,其特征方程为│λIA│=0(I为单位矩阵),它的展开式为一实系数多项式

a0λn+a1λn-1+…+an-1λn=0  (a0>0)。 (5)

里雅普诺夫提出按首次近似判别非线性系统式 (4)的稳定性的定理,即里雅普诺夫判别定理。它可表述为:如果首次近似的特征方程的一切根都有负实部,则无扰运动稳定且渐近稳定;如果至少有一个正实部的根,则不稳定。这些结论同方程(4)的高阶小项(x)无关。如果没有正实部的根,而有实部取零值的根,则系统的稳定性或不稳定性都将同方程(4)的高阶小项的选择有关。因此,对于非线性系统(4),稳定性的研究,可分为两类:非临界情况和临界情况。前者可按首次近似的分析来解决,而后者还要考查非线性的高阶小项才可能解决。

下面介绍两个稳定性判据。为了说明问题,首先由特征方程式(5)的系数以及两行交叉相乘的方法,求出劳思阵列:

公式 符号

其中 b1=(a1a2-a0a3)/a1b2=(a1a4-a0a5)/a1,…;

c1=(b1a3-a1b2)/b1c2=(b1a5-a1b3)/b1,…。

(1)劳思稳定性判别法 式 (5)的一切根都具有负实部(稳定根)的充分必要条件是:在劳思阵列(6)中,第一列的各项都取正号。

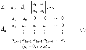
(2)赫维茨稳定性判别准则 式 (5)的一切根都具有负实部(稳定根)的充分必要条件是:赫维茨行列式(7)都大于零。

公式 符号

因为上述两个稳定性条件是等价的,所以通常就称为劳思-赫维茨判据。

发展动向

运动稳定性的理论研究和应用已经有了很大进展。它是当前两个新技术领域(大系统的稳定性和空间飞行器姿态动力学)发展的重要基础之一。因此,随着系统的大型化和复杂化,运动稳定性的研究也就更为急需。在大型人造卫星和航天器的设计中,如果考虑液体晃动、结构变形、挠性附件的伸展、失重光压和温度效应的影响,飞行器的姿态稳定性就可能成为姿态控制的一个关键性问题。另外,在理论研究中,也把运动稳定性视为力学和应用数学的一个分支。假如能引进现代数学的某些方法(算符理论和拓扑原则)来推广稳定性的概念,就有可能取得一些新的成果。当前,电子计算机在理论研究中的广泛应用,也是运动稳定性理论研究现代化的一种动向。