[拼音]:tuoluo xitong wendingxing
[外文]:stability of gyroscopic systems
研究陀螺力对力学系统的影响,进而建立某些判别系统稳定性的准则,为分析工程技术问题提供必要的理论依据。
具有高速转动的旋转对称型部件的仪器叫做陀螺仪。陀螺仪可以装配在固定基座上或运动机座(如飞机、火箭和卫星)上工作。由多个陀螺仪和有关的元部件组成的系统称为陀螺系统。
在含有陀螺仪的系统的运动方程中,会出现速度的线性项,这些项的系数矩阵是反对称的。如果把这些项视为力,它们就是理论研究中通常所说的陀螺力(或称为陀螺项);这种力在系统的实位移上所做功的和等于零。陀螺力不仅出现在含有陀螺仪的系统中,而且也出现在许多不含陀螺仪的力学系统和物理系统中,如自旋卫星的陀螺效应和不变磁场对运动电子的作用力也都具有陀螺力的性质,因此,用陀螺力的观点来研究问题具有更广泛的意义。
学者们早就发现,旋转物体的陀螺现象是宇宙间一种常见的自然现象。天文学家们很早就发现地球的地轴具有经常指向北极星的特性,后来又发现地轴的指向还在作两种有规则的周期运动:进动和章动(见刚体定点转动解法),这就是地球的陀螺现象。可见,地球本身就是一个带有液体的大陀螺。陀螺仪在工程技术上的应用始于18世纪中叶,当时在航海技术上虽也做过试验,但还没有造出真正适用的陀螺仪。直至20世纪初才有了较完善的陀螺仪。近几十年来,各种高精度、长寿命、大过载的惯性元件和比较精密的陀螺系统,已经在航海、航空和航天中得到了广泛的应用(见陀螺平台惯性导航系统)。
研究方法对于含有陀螺仪的系统和虽不含陀螺仪但具有陀螺力的系统,它们的运动方程可以用(第二类)拉格朗日方程描述。在工程技术上,通常应用线性化方程并结合实验方法和数字仿真技术进行分析。因此,可把描述保守系统的拉格朗日方程的线性近似变换为简正坐标的形式:
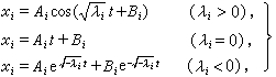
塯i+λixi=0 (i=1,2,…,n), (1)
这是一个二阶常系数线性方程组,式中xi是简正坐标。方程(1)的零解 (x1=0,x2=0,…,xn=0)是系统的平衡状态。如果取零解为无扰运动,方程(1)即为对应的受扰运动微分方程(见运动稳定性)。将方程(1)积分,可得:
(2)
式中Ai、Bi(i=1,2,…,n)为积分常数。由式(2)可知:当全部λi>0时,平衡状态稳定;而当有λi=0或λi<0时,则不稳定。因为λi的符号直接影响着平衡状态的稳定性,所以就称它们为稳定系数。在λi中取负值的个数称为不稳定度。当所有稳定系数都不取零值时,就称平衡状态是孤立的。
为了进一步研究系统稳定性,还需引进瑞利耗散函数,其函数式为:
式中Cij为阻尼系数;凧i为简正坐标对时间的导数。如果这个二次型函数含有一切简正坐标的导数(这个函数是正定二次型),就称为完全耗散;否则就称为部分耗散。与它们对应的力分别称为完全耗散力和部分耗散力。
开尔文-泰特-切塔耶夫定理这是一个有关陀螺力和耗散力对保守系统平衡状态稳定性影响的定理,它包含下面一些主要结论:如果保守系统的平衡状态是稳定的(稳定系数皆为正),则当附加陀螺力和部分耗散力(或无耗散力)后,平衡状态仍然稳定;而当附加陀螺力和完全耗散力后,平衡状态变为渐近稳定。如果孤立的平衡状态不稳定(稳定系数皆不为零,且至少有一个为负),则当附加陀螺力和完全耗散力后,平衡状态仍不稳定。如果孤立的平衡状态不稳定,且不稳定度是奇数(稳定系数皆不为零,而有奇数个负值),则在附加陀螺力后,平衡状态仍不稳定。如果不稳定度不是奇数,则当附加适当的陀螺力后,平衡状态可以变为稳定。因此,对于孤立不稳定的平衡状态,要实现系统的陀螺稳定,不稳定度应该不是奇数,而且没有附加的完全耗散力。
上述定理是首先由开尔文和P.G.泰特等人提出,后又由Н.Г.切塔耶夫利用里雅普诺夫定理作了严格的证明。近年来,这一定理由于在航空和航天中的应用,受到广泛的重视。虽然定理中用的是线性命题,而且只针对保守系统的孤立平衡状态,但在一定条件下,有些结论也可以推广到非线的性情况。可是,对于保守系统的非孤立平衡状态(此时,有的稳定系数取为零),稳定性问题的分析就比较困难。此外,陀螺力和耗散力对于非保守系统稳定性的影响也值得研究,因为这些问题在新技术中也经常出现。