[拼音]:qiangliu dianzishu he lizishu
[外文]:high flux electron beam and ion beam
束流强度达几十万以至上百万安培的束流。它比通常加速器的束流密度高几万倍以至几十万倍。20世纪60年代初期,由于模拟核爆炸条件下γ射线辐照效应和X射线照相的需要,强流脉冲电子束加速器得到了迅速发展,70年代后,由于粒子束惯性约束聚变、电子束抽运气体激光器、电子束产生高功率微波等研究工作的要求,研制了低电压大电流的电子束加速器,并在这些技术的基础上获得了强流脉冲离子束。1984年已能产生1MeV、1MA的轻离子束,强流脉冲电子束也达到了如下的技术水平:
电子能量 0.3MeV~12MeV
电子束流 10kA~5MA
脉冲宽度 10ns~100ns
总束能 1kJ~5MJ
功率 1011W~3×1013W
这些束流之特点是束流能量大、功率高、电流大、时间宽度窄。这种基于物理学和电工学相结合的高功率脉冲技术是一门新的前沿科学技术,近年来发展极为迅速,已成为研究高温高压等离子体物理的重要工具,它在经济和军事应用方面有着广阔的前景。
强流脉冲电子束的产生
强流脉冲电子束加速器主要由三个部分组成,即冲击电压发生器、脉冲成形线与脉冲传输线和场致发射二极管。从冲击电压发生器输出的微秒级上升时间的高压脉冲经脉冲成形线成形为几十纳(10-9)秒上升时间的高压脉冲,并由传输线输运至场致发射二极管,二极管起着将电磁能转变为电子束的能量的作用。
冲击电压发生器见脉冲倍压发生器之图2。冲击电压发生器的工作原理是对电容器组并联充电串联放电,获得脉冲高压输出,减小冲击电压发生器电感,可缩短输出高压脉冲的上升时间。电容器的排列有Z型、S型和混合型等,采取正、负充电线路,可使火花球隙数目减少一倍。
LC反转冲击电压发生器的电感小,输出脉冲上升时间短,但当所有球隙不能在同一时间内击穿时,过电压会把电容器击穿。
脉冲成形线和脉冲传输线如图1所示。冲击电压发生器输出的电压脉冲,对脉冲成形线充电,当电压充至一定值时主开关接通,成形线中开始了波过程,经过
时间在成形线末端产生时间宽度为
的高压脉冲加在场致发射二极管上。L为成形线长度,с为光速,ε为成形线介质的介电常数,也可以通过变阻抗传输线加到二极管上,以达到升压或降压的目的。脉冲成形线和脉冲传输线中充以去离子水或变压器油,对于亚微秒充电时间的高压脉冲,水是很好的绝缘介质,水的储能密度大、价廉,发生电击穿后能很快恢复不留痕迹。可根据T.H.马丁的经验公式来考虑脉冲成形线和脉冲传输线的绝缘要求。
阴极表面细微的针尖状结构,使场强增大约100倍,趋于108V/cm,由此引起的电流的增强造成阴极上微小尖端的蒸发,蒸发物的电离形成阴极等离子体,并从中发射电流,阴极等离子体的前沿以1~4×104m/s的速度向阳极运动,随着束流的增强,在阳极上吸附的气体释放出来并被电离,形成阳极等离子体,它以约1×104m/s的速度向阴极运动。
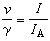
描述二极管中电子束流特性的一个重要物理量是v/ γ 值,v是单位长度上电子数目乘电子经典半径,
,
,
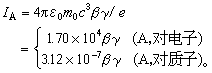
IA称为阿尔文电流。
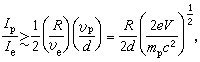
低v/γ 值二极管阻抗可由蔡尔德-朗缪尔公式描述,平行板二极管阻抗为
式中V以兆伏为单位,R是二极管半径,d是阴阳极间隙距离,以厘米为单位,μ 是阴极等离子体运动速度,以厘米/秒为单位,Z以欧姆为单位,K(V)是随着V而增长的函数,对于非相对论性束流K(V)=136。
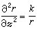
当二极管中电流超过了临界电流值时,电子轨迹开始箍缩,这时电子的拉莫尔半径等于电子束半径的一半,并等于阴阳极之间的间距。
在高v/ γ值的二极管中,当达到临界电流值时,束流开始箍缩,实验观察到箍缩主要在脉冲的后一段时间内形成,并以(1~5)×106m/s的径向崩塌速度进行,它比等离子体膨胀速率大一个半到二个数量级,这是由于阳极等离子体中的正离子向阴极运动,改变了空间电荷分布,增大了二极管电流,从而使箍缩进一步发展。
箍缩发生后,二极管阻抗大致和“顺位流模型”的计算值相符。箍缩的结果使电子向二极管的轴线方向移动。由于空间电荷的堆积,造成阴极中心部分轴向电场的减小,从而降低了阴极中心区域的电子发射,过剩的空间电荷使得等位面分布接近锥形。电子沿锥形等位面运动。等位面的法线方向和磁场方向垂直。因而向外的电场力和向内的自磁场力方向相反。空间电荷堆积一直继续到作用在电子上的净力为零。于是从阴极边界处发出的电子沿等位面作净力为零的运动。按顺位流模型可得
进一步考虑阴极和阳极表面上存在的等离子体对箍缩所起的作用,建立了聚焦流模型,按照该模型聚焦束流为
强流离子束的产生
在双极性流的情况下,质子流和电子流密度满足方程
式中x是阴阳极之间距离,V是阴阳极间隙上的电压,εo是空气介电常数,e是电子电荷,mp是质子质量。电子流密度约为质子流密度的43倍,强流离子二极管的工作原理是利用电场或磁场抑制电子到达阳极,使二极管的能量大部分为离子所带走,现有的离子二极管有三种类型:
反射型二极管从阴极射出的电子穿过薄阳极靶后,遇到一个反向电场,使电子减速并回转,重新穿过阳极靶,然后阴阳极之间的电场又将电子拉向阳极。若靶上涂以某种有机物,由于电子来回穿过阳极靶,在靶上产生离子并向阴极运动(图2)。反射型二极管产生离子效率可达50%,实际上不需要第二个阴极,从阳极穿出的电子的堆积,形成虚阴极。离子流密度和电子流密度之比为
式中Zm是离子的电荷,Mp是离子质量,〈Δθ2〉是散射角的均方值,散射角近似反比于二极管电压的二次方,离子流密度和二极管电压的关系可用7/2次方来描述。
磁绝缘二极管如图3所示。外加一个大于临界磁场Bcr的横向磁场,偏转电子,使它不能到达阳极。
式中V是阴阳极之间电压,d是阴阳极间距。将含氢的有机物薄层附在阳极板上,采用表面闪络的技术使有机物层产生电击穿,形成等离子体,并从中发射出质子,质子从阳极向阴极运动的偏转角
,Bcr为实际磁场强度,Bcr是达到磁绝缘所必须的最小磁场强度,一般的偏转角为1°~2°。
磁绝缘二极管的优点是在每次放电中阳极不会被损坏,约75%的二极管能量可以为离子带走,在美国桑迪亚国家实验室Proto-I加速器上获得能量为0.8~1.4MeV,电流为360kA的质子束。
自箍缩型二极管如图4所示。阴极是大纵横比的圆环,阳极为一平板,从阴极发出的电子呈圆环的形状,电子轰击在阳极上形成阳极等离子体,它以约10%m/s的速度向阴极运动,走在前头的离子流使电子的空间电荷中性化,因而促使电子流增长,当电子流超过了临界电流时箍缩开始,在电子束每一次箍缩的过程中,有更多的等离子体从阳极放出,离子从等离子体中发出向阴极运动,电子束继续箍缩,从阴极圆环到二极管轴,走了一条弯曲而长的路程,而离子从阳极至阴极却走了一条比较直的路程,离子流和电子流之比为
式中vcr和vp是平均电子和离子的速度。
束流的传输
瑞典物理学家H.阿尔文研究宇宙射线时指出,带电高能粒子通过星际空间时的电流极限,星际空间的物质认为是电离的良好导体,其中电场为零,束流粒子的运动主要取决于束流本身所产生的磁场,可传输束流的最大值IA称为阿尔文电流
但由于本底气体的电离,造成空间电荷中性化和本底电离气体中的逆电流中和电流磁场的结果,可传输的束流往往超过阿尔文电流值。
均匀电子束流,在部分空间电荷中性化时,可传输的最大束流
,ni是单位时间内单位体积中产生的离子数,nb是单位时间内通过单位面积上的带电粒子数。又由于电子束流上升前沿产生的随时间变化的角向磁场Bcr(t),而感生的轴向电场Ez(t),会产生逆向电流Jr(t)=σEz(t),σ为电离的本底气体的电导率,逆向电流可抵消原束流的磁场,起"磁中和"的作用,这时可传输的最大束流
fm=Jr/Jb称"磁中和"因子,表示磁场被中和的程度。
同时考虑到"电中和"和"磁中和"时,最大传输束流
电子束在传输中束截面变化的情况,可用径向运动方程
表示,
,n值的正负决定了束流截面变化的行为。
W.T.林克曾分析在各种不同气压的空气中电子束的传输特性,如下表所示。
离子束通过稀薄气体的漂移管,气体被电离产生的电子可以中和离子的空间电荷。在等离子体密度足够大、电导率足够高的等离子体通道中,可传输高流强的离子束,传输距离达几米时,能量损失很小,用大型电容器组通过细钨丝放电,在气体中形成狭窄的等离子体通道,放电电流的角向磁场可使离子束或电子束箍缩住,全息照相技术观察,发现在均匀稳定的低密度通路外面,是一层温度较低、密度较高的圆筒状气体壳。等离子体通道方法有效地将几十万安培的强流电子束或离子束传输了几米。近来也用激光产生的弱的预电离通道来传输粒子束流。
强流电子束和离子束的应用
强流粒子束已广泛地应用于核爆炸模拟、大型 X闪光机照相、强功率微波的产生、强中子源的产生、粒子束惯性约束聚变的研究、抽运高功率的气体激光器(其中以准分子激光器、二氧化碳激光器和化学激光器在最近几年得到迅速发展),现只叙述在粒子束惯性约束聚变方面的应用。
强流粒子束射在球形的靶丸上,靶的结构包括三个部分:
(1)烧蚀层。即靶壳的外层部分,绝大部分的束流能量在该层吸收,形成高温高压的等离子体;
(2)推进层。即靶壳的内层部分,当烧蚀层的高温高压等离子体向外膨胀喷射时,靶壳的内层部分向内作聚心压缩;
(3)燃料。即DT混合物,由于推进层的压缩,将燃料加热和点燃。
粒子束惯性约束聚变研究中最关键的问题是增大在靶面上粒子束流的功率密度和粒子束在靶上的能量沉积,1976年苏联库尔恰托夫研究所Л.И.鲁达科夫等首次用功率约1011瓦的电子束辐照锥形靶,压缩和加热装在锥形导向塞内的氘燃料,产生3×106个聚变中子,1977年美国桑迪亚国家实验室G.约纳斯等也用电子束辐照含氘小球,获得约106个中子。
离子束聚变较之电子束聚变有显著的优越性,射程短,不预热靶心的燃料,后向反射小等,因此点火功率的要求比电子束聚变可降低 5~10倍。70年代中期离子束聚变发展成为粒子束聚变的主要方向,目前在美国桑迪亚国家实验室正在建造大型轻离子加速器PBFA-Ⅱ,从事该方面研究工作。
- 参考书目
- T. H. Martin,IEEE Transactions On Nuclear Science,Vol. NS-16, No. 3, p. 59, June 1969.
- G.Yonas,J.W.Poukey, K.R.Prestwich, J.R.Freeman,A.J.Toepfer and M.J. Clauser, Nuclear Fusion, Vol.14, p.731, 1974.
- H.Alfven,Physical Review, Vol. 55,No.5,p.429,1935.