[拼音]:ziyou bianjie wenti
[外文]:free boundary problem
一个偏微分方程的定解问题,若其定解区域的部分边界是待定的,它和定解问题的解彼此相关且必须同时确定。这类定解问题,人们称之为自由边界问题,其待定边界称为自由边界。在自由边界上,除了需要给定通常的定解条件以外,还必须增加一个边界条件。所有自由边界问题都是非线性问题。
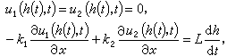
斯蒂芬问题是一个考虑到相转换的热传导问题。以一维的冰-水的热传导问题为例,假设u1、u2分别表示水温和冰温,x=h(t)表示相截面(自由边界),在它上面的水温和冰温为已知,且满足热平衡条件;
式中L和ki(i=1,2)是物理常数,第二个条件称为斯蒂芬条件,是J.斯蒂芬于1889年给出的。这类寻求水温、冰温以及相截面的热传导方程自由边界问题,称为斯蒂芬问题(二相)。如果引进表示内能的焓的概念,那么根据能量守恒定律,热传导方程和斯特范条件可以统一为一个积分等式
式中u是温度,β(u)是焓,
(sg u是符号函数),
此时自由边界x=h(t)以及斯蒂芬条件作为解 u的弱间断线和间断条件由该积分等式直接导出。在连续可微意义下适合热传导方程和斯蒂芬条件的解称为古典解;在索伯列夫广义微商意义下适合上述积分等式的解称为广义解。
关于斯蒂芬问题的系统理论研究是从20世纪40年代开始的。迄今对一维问题已有较完整的成果,如广义解和古典解的存在惟一性,自由边界x=h(t)的无穷次可微性,以及在适当条件下自由边界x=h(t)的凸性、解析性和渐近性等。对多维问题,一般不存在整体古典解,除了已经知道广义解的存在惟一性和连续性以外,其他方面还在研究。
自由边界除了表现为相截面以外,也可以被定义为解与某一已知函数的分离集(或重合集)的边界。
考虑在外力作用下绷在已知障碍上的膜平衡问题。设u是膜在垂直方向的位移,则由最小势能原理,u∈K,它使下述泛函取极值:
其中


是索伯列夫空间,g(x,y)是已知障碍,
ƒ(x,y)是垂直方向的外力。集合{(x,y)|u>g}称为分离集。它的边界是自由边界。在自由边界上,u适合边界条件u=g,墷u=墷g。对于这个问题已有较系统的成果,如解的存在惟一性和正则性,特别是关于障碍g(x,y)的适当假设下自由边界的正则性等。
自由边界问题的研究有着广泛的实际背景。除了上述两类自由边界问题,在渗流力学、等离子物理、塑性力学、射流等方面都提出了各种不同形式的定常和不定常自由边界问题。