哨声和甚低频发射

通过电离层和磁层传播的声频范围的电磁波。哨声主要是由闪电的电磁辐射所产生,甚低频发射一般是由磁层中高能带电粒子流激发所产生。哨声和甚低频发射的出现,常受到传播条件、背景噪声水平、观测时间和地点等因素的影响;又与太阳活动、雷雨活动及地磁活动等日、地物理现象密切相关。一般说来,冬季夜间哨声比较频繁,高纬台站的观测结果比中低纬台站的丰富,卫星和火箭在高空中观测到的类型比地面观测到的多。

研究简史

1894年3月30日和31日出现北极光的同时,普里斯(W.H.Preece)首先在电话中听到一种“鸟鸣”的声音。随后,第一次世界大战期间,巴克豪森(H.G.Barkhausen)在窃听敌方电话中,又听到类似于手榴弹飞行的声音,并认识到这与闪电有关。到20世纪30年代,埃克斯利 (T.L.Eckersley)首次从磁离子理论出发,导出了低频极限下电磁波的色散方程,解释了哨声频率和时间之间的色散关系。同时,伯顿(E.T.Burton)和博德曼(E.M.Boardman)进行了大量观测,开始研究哨声和甚低频发射的频谱特征,以及它们与地磁活动的关系。

1953年,斯托里(L.R.O.Storey)应用测向器证实哨声起源于远处的闪电,还在理论上证明哨声基本上沿着地磁力线传播,哨声射线方向与地磁力线的夹角要小于19°29′。1956年,赫利韦尔 (R.A.Helliwell)等人首次在高纬地区观测到鼻哨,并用于确定哨声传播的路径。

1957年国际地球物理年大会上,总结了以往哨声和甚低频发射的研究成果,规定了观测的国际程序。会后,在继续研究闪电所产生的哨声的同时,还发现核爆炸也能激发哨声;于是开始应用固定频率的人工信号,进行哨声方式的传播实验。特别是应用卫星和火箭,在电离层和磁层中还观测到哨声的许多新类型,大大加深了对哨声和甚低频发射的认识。70年代,主要致力于研究哨声和甚低频发射在地球电离层和磁层中的传播特征,以及它们与空间等离子体的相互作用过程;并利用哨声和甚低频发射的观测结果,间接获取地球磁层的环境资料。

哨声的主要类型

由于闪电源和空间环境的复杂变化,产生了丰富的哨声形态。地面台站观测到的主要哨声类型有短哨、长哨、重哨、鼻哨、扩展哨和小色散哨。根据卫星和火箭观测,还有不完全哨、离子哨、离子截止哨和亚质子层哨声等类型。已经观测到的主要哨声类型如图1。

图1 短哨

闪电所激发电磁波的声频部分,能量进入电离层和磁层,大致上沿着地磁力线传播到另一半球,即为短哨。由于不同频率电磁波在电离层和磁层中的传播速度不同,较高频率部分到达较早,较低频率部分到达较迟,形成色散现象,故哨声听起来是一种富有音乐感的下滑调。短哨可以在磁共轭点之间来回传播多次,形成回波列。

还有部分闪电所激发电磁波的能量,可以在地球-电离层波导中经过一次或多次反射,传播到远处,此即吱声,听起来好似小鸟吱吱叫。

长哨

闪电所激发电磁波的声频部分两次通过电离层和磁层,回到与闪电同一半球被接收到的哨声。由于经过的路径较长,长哨的频时(频率-时间)曲线较短哨平坦。长哨也能形成回波列。

重哨

主要分为多路哨和多源哨两种。前者系几支哨声起源于同一闪电,但沿着不同路径传播到另一半球;后者系起源于不同的闪电,但沿着同一路径传播。

鼻哨

频时曲线呈现为上升和下降两支,鼻哨一般仅在磁纬40°以上的高纬度台站才能观测到。

扩展哨

频时图上较低频率处的描迹变宽,听起来哨声音调吵哑,低音丰富。磁暴期间出现较多。

小色散哨声

是在中低纬度台站观测到的一种色散远小于正常值的哨声。

甚低频发射的主要类型

大体上可以分为连续发射和分立发射两大类。甚低频发射的主要类型如图2。

图2 嘶声

频谱图上表现为连续的噪声谱,接收机中听到“嘶嘶”的声音。有些嘶声相当稳定,其振幅在几分钟甚至几小时内无显著变化,称为稳定嘶声;有些嘶声的振幅在一秒钟内都发生很大改变,称为脉动嘶声。嘶声与极光活动密切相关,通常在高纬度台站才能观测到。

分立发射

是时间间隔达几秒以上的短暂发射,按频谱特征,又可分为上升调、下降调、镰刀型、准平音等。

合声

很多相似的分立发射重叠在一起,听起来十分悦耳,犹如“百鸟合鸣”。

周期发射

是周期重现的分立发射,重复时间一般不变,偶尔变长。按其频谱特征,又分为色散型、非色散型、漂移型等。

准周期发射

一种周期较长的噪声爆发,每组可由分立发射、合声及周期发射组成,其周期可长达几十秒。与周期发射相比,表现很不规则。

触发发射

由哨声、分立发射、地面工业系统谐波辐射以及其他电磁信号在磁层中所触发产生的甚低频发射的统称。其形态特征与触发源关系密切。

传播特征

地磁场与空间等离子体的分布,决定了电磁波的传播特征。地面台站所观测到的哨声和甚低频发射,大都是在哨声导管中传播的。所谓哨声导管,是指电离层和磁层中按地磁力线排列的路径。它类似于波导管,能捕获甚低频电磁波,使波法线方向只能位于与地磁力线相交一定的角度以内。哨声沿导管传播过程如图3所示。

图3

哨声导管并不是连续分布的,导管的宽度约在10~100公里的范围,导管之间的间隔,比导管宽度还要大些。因此,当甚低频电磁波的能量不能为哨声导管所捕获时,就会出现非导管传播。非导管传播的特征是:哨声的波法线方向逐渐地偏离地磁力线,以致它们在电离层或磁层中即被折回,而不能穿过电离层的下边界到达地面。因此,地面台站接收不到非导管传播的哨声,而仅能在卫星和火箭上观测到。这就是卫星和火箭在高空中的观测结果远比地面丰富的主要原因。

除上述导管传播和非导管传播之外,还有一些混合传播方式。一种是导管传播方式与吱声传播方式相结合,可以解释小色散哨声的特征,还有一种是在电离层 E层(约100公里)与质子层底(约900~1200公里)之间来回传播,可以解释亚质子层哨声。

产生机制

哨声主要由云-地闪电的电磁辐射所产生,核爆炸也可以产生哨声。

在磁层中带电粒子的运动能够产生甚低频发射。当带电粒子的速度大于介质中电磁波的相速度时,将产生切连科夫辐射;另一方面,当带电粒子沿地磁力线作回旋加速运动时,该带电粒子的运动过程可产生回旋加速辐射

大多数分立发射是由天然或人工信号触发产生的,例如莫尔斯电码就能触发上升调和下降调。首先触发信号的能量被磁层中的电子流所吸收,然后由于回旋加速不稳定性而引起甚低频发射。

研究意义及应用

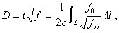
利用地面台站及卫星、火箭取得的哨声资料,可以推算出空间电子密度的分布。地面台站观测到的沿导管传播的哨声,由于地磁场和空间等离子体的影响而引起色散现象。对于频率 f远小于空间等离子体频率f0和地磁场中电子磁旋频率 fH的甚低频电磁波,近似满足关系式:

式中 D为哨声色散值,t是相应于频率为f的哨声分量的群延迟,c是光速,L为哨声传播的整个路径。

根据上式,在知道空间磁场分布的情况下,根据实测的哨声色散值D,应用“模式法”即可推算出沿磁力线的空间电子密度分布。1963年卡彭特 (D.L.Carpenter)根据哨声资料,首先测出等离子体层顶的位置及其随时间的变化。因在等离子体层顶两侧,空间电子密度发生突然改变,电子密度随高度的分布曲线呈现出一“膝状”,故将相应的哨声称为“膝哨”。

哨声和甚低频发射的观测和研究,还广泛用于研究磁层中的电场和各种动力学过程。在卫星和火箭上向周围空间人工发射电子束,为等离子体物理学的研究提供了地面实验室中无法做到的实验条件。例如,日本于1973年6月17日发射的探空火箭K-9M-41,进行了电离层等离子体中非线性波-波、波-粒子相互作用的控制实验,在能量低于3电子伏的电子束注入周围空间后,观测到一种频时曲线为V形的分立发射。

哨声和甚低频发射的传播特征和形成机制,仍然是有待进一步研究的两大课题。(见彩图)

哨声接收天线上的前置放大器 肖声接收天线
参考书目
  1. R.A.Helliwell, Whistlers and Related Ionosphe-ric Phenomena,Stanford Univ.Press,Stanford,1965.