[拼音]:haimuhuozi-kai'erfen shousuo shijian
[外文]:Helmholtz-Kelvin contraction time
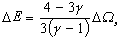
引力收缩的时标。亥姆霍兹于1854年提出引力收缩是恒星的能源。他假设太阳和其他恒星在自引力的作用下不断收缩而释放能量。对于质量和半径分别为M和R的星体,其引力势能Ω=-ηGM2/R,式中G 为引力常数,η为与质量分布有关的因子,量级为1。根据维里定理,对于一个处于准稳定平衡状态的无转动星体,在引力收缩时,R变小,引力势能也相应变小,一部分引力势能将转变为星体内能U:
式中r 为大于 1的多方物态方程(见多层球)的幂指数;另一部分将转变为辐射能:
对于稳定星体
,故ΔE >0。星体的光度为:
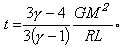
如果原始星体物质处在无限弥漫状态,则它收缩到半径为R的球体的时间约为:
这就是亥姆霍兹-开尔芬时间。对于太阳来说,r =5/3,t≈5×107年。