卡门-钱学森公式

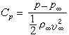
二维无粘性定常亚声速流动中估算压缩性对物体表面压力系数影响的公式,是由T.von卡门钱学森在1939年推出的。二维无粘性定常亚声速流动的速度势方程在物理平面(xy)中是非线性偏微分方程,通过适当变换,在速度平面(vxvy)上,可化成线性方程,但边界条件则是待定的,给求解带来困难。为了解决这个困难,钱学森提出一种“切线气体近似”法,其要点是:在以压力p和密度倒数1/ρ为坐标的平面上,把经过点(p ,1/ρ)的等熵关系曲线用(p,1/ρ)点处的切线来代替(见图),

图

pρ分别为无穷远处来流的压力和密度。引进一个假想的不可压缩流动(见可压缩流动),其速度vi同原来亚声速流动中的速度v之间满足关系式:

公式 符号

式中dvi 和dv分别为不可压缩流动和亚声速流动中速度的微量变化,公式 符号为气流的马赫数。由此可得亚声速流中二维物体表面某点压力系数Cp同不可压缩流中类似物体对应点处压力系数C孡间的关系:

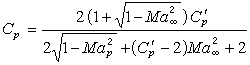
公式 符号

这个公式称为卡门-钱学森公式。式中公式 符号为来流的马赫数;公式 符号v为无穷远处来流速度。对于翼型,亚声速流和假想不可压缩流中的两个翼型绕流非常接近,故可利用这个公式直接根据翼型在不可压缩流中的压力系数进行可压缩性修正,求出亚声速流时的压力系数。实验证明,在整个亚声速范围内,用此公式能比较精确地估算出翼型上的压力分布,同时还可估算出该翼型的临界马赫数值(见跨声速流动)。

参考书目
  1. 徐华舫著:《空气动力学基础》,上册,国防工业出版社,北京,1979。
  2. H.S.Tsien, Twodimentional Subsonic Flow ofCompres-sible Fluids,Journal of the Aeronautical Sciences,Vol.6,No.10,p.399,August 1939.
  3. T.von Kármán,Compressibility Effects in Aerodynamics,Journal of the  Aeronautical Sciences,Vol.8,No.9,p.337,July 1941.