[拼音]:bianxing fenpeifa
[外文]:deformation distribution method
位移法的一种,通过广义位移(线位移和角位移)的迭代过程求解连续梁和刚架一类静不定结构的位移和内力的方法,又称变形传播法,是捷克斯洛伐克的C.V.克卢切克于1938年首先提出的。方法的要点如下:
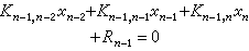
考虑到连续梁和无侧移刚架的位移法方程组中每个方程最多含有三个未知广义位移,且首尾两方程只含两个未知广义位移,其形式为:
式中Kij为已知的刚度系数,且Kij=Kji;Ri为结构中节点i处由外载荷引起的相应约束上的反力(或固端力矩);xi为节点的未知广义位移。对于此类方程,可以方便地用迭代法求解。首先,在第一个方程中假设R1=0,并令
,
它是节点2对于节点1的位移传播系数。将x1=ξ21x2代入第二个方程,便得一个只含两个未知量的方程。再假设R2=0,重复以上的过程,可得:
ξ
为节点i+1对节点i的位移传播系数。若已知一个ξ10,则ξ21,ξ32,...,ξn,n-1均可求出。在此基础上,令第m个方程的自由项Rm不为零,而其余各方程的自由项均为零,可得节点m的位移x
,即
利用位移传播系数,就可算出其他点因Rm的存在而产生的位移。分别计算出各自由项的影响,再经叠加,就可得到各广义位移的最终结果,并可进而求出结构中的内力。