常微分方程

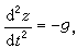
包括一个自变量和它的未知函数以及未知函数的微商的等式。运动着的物体的位置(xyz)是随时间t的变化而变化的。按牛顿运动定律,力等于质量乘加速度,它牵涉到xyz对于t的二阶微商, 这就可用常微分方程表示。例如,在大地上的自由落体运动,可以用下面的常微分方程来描述:

    (1)

式中g是重力加速度,z是铅直位置。

一般说来,如果y是自变量x的函数,则y的常微分方程可以表达为

    (2)

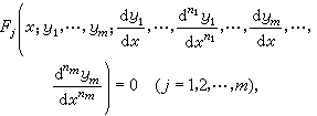
式中F是它所依赖的n+2个变量的函数,n为正整数。由自变量xn个未知函数y1y2,…,ymm个常微分方程

    (3)

所形成的一组方程称为常微分方程组,其中n1n2,…,nm为非负整数。如果一个常微分方程(组)关于所有未知函数及其各阶微商都是线性的,则称为线性常微分方程(组);否则,称为非线性常微分方程(组)。

如果能由(2)解出最高阶微商,则得到

    (4)

式中ƒ是它所依赖的n+1个自变量的函数。这种就最高阶微商解出的微分方程,称为正规型微分方程;而称(2)为隐微分方程。任一正规型微分方程(4)与微分方程组

是等价的,因此(4)总可以化成一个与之等价而形如

    (5)

的正规型方程组。对于微分方程组(3),也有上述相似的结果,即任一正规型微分方程组也可化为等价的而形如(5)的正规型方程组。

满足常微分方程的函数称为常微分方程的解,也就是说,对方程(2),如果有函数φ(x),在x轴的某区间I上有定义,具有从1阶到n阶的微商且满足

对所有xI,则称φ(t)为方程(2)在区间I上的解。常微分方程研究的内容包括解的基本性质(如存在性、惟一性等)、解的解析表达式或近似的解析表达式、解的定性性质(如运动稳定性、周期解的存在性等)以及解的数值解法。

常微分方程的形成和发展是与力学、天文学、物理学及其他自然科学技术的发展互相促进和互相推动的。数学的其他分支的新发展如复变函数、李群、组合拓扑学等都给常微分方程的发展以深刻的影响。当前计算机的发展为常微分方程的应用及理论研究提供了非常有力的工具。常微分方程研究的历史发展大体可分为四个阶段:18世纪及其以前;19世纪初期和中期;19世纪末期及20世纪初期,以及20世纪中期以后。

18世纪及其以前是常微分方程产生和发展的第一个阶段。质点动力学是这个阶段研究的问题的主要来源之一。例如牛顿建立了太阳系行星运动方程

    (6)

并求出其通解的显式解析表达式。这里t是时间,R(t)=(x(t),y(t),z(t))是以太阳为原点的直角坐标系中行星的位置,G是万有引力常数,M是太阳质量。

这个阶段主要是求常微分方程的通解,亦即对于方程(2)求含有n个任意常数c1,c2,…,cn的形如

    (7)

的解。对于方程组(3),则要求含有n1+n2+…+nm个任意常数的解组。

这个阶段的成果有:G.W.莱布尼茨关于齐次方程和线性方程的通解;雅各布第一·伯努利提出并解决、现命名为伯努利方程的特殊非线性方程

    (8)

L.欧拉等得到的常系数线性常微分方程的通解;以及利用变换x=et欧拉方程

    (9)

化为常系数线性方程。

但是,求显式通解的可能性十分有限,上述努力经过一段时间便停滞下来。当时若干实际问题又迫切需要解决,例如新兴的航海事业需要计算月球的运动,这类问题只能用数值方法近似求解,欧拉折线法便是这一方向的开始工作。到近代电子计算机出现以后,常微分方程的数值解法发展成一个重要的分支。

19世纪初期和中期是数学发展史上的一个转变时期。数学分析的基础、群的概念、复变函数的开创等都在这个时期。常微分方程深受这些新概念和新方法的影响,进入了它发展的第二个阶段。19世纪初期,A.-L.柯西等人建立了数学分析(又称分析学)的基础。无限、极限、连续、可微等等概念得到了精确的意义。柯西也是复变函数论的奠基人之一。将这些概念和方法应用于常微分方程,柯西创造性地将常微分方程的研究由实数域扩展到复数域。在方程右方是解析函数的条件下,第一个严格地证明了解的存在性和惟一性。他用幂级数展开求解时,研究的是对于特定的初值求相应的解,这有别于第一阶段求含有任意常数的通解。这种求解满足特定的初始条件的常微分方程的问题称为常微分方程的柯西问题或定解问题,通常又称为初值问题。

在常微分方程的问题的提法方面,除通解问题和初值问题外,这个阶段还出现了由C.-F.斯图姆及J.刘维尔开创的边值问题与特征值问题的研究领域。这类问题最初来源于热传导和弦振动等实际问题,并以偏微分方程的边值及初值问题的形式出现。在利用分离变量法后,变成了常微分方程,但方程中带有待定的参数,称为特征值,这些特征值要由解必须满足边界条件(如弦振动要满足两端固定)而定。这类问题以后在弹性力学、量子力学中成为很关键的问题。

(J.-)H.庞加莱曾经将代数方程求根的问题(见代数学)和常微分方程求解问题的历史发展作过对比,这种对比既直观又富有成果。如:

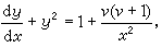
(1)1824年,N.H.阿贝尔证明五次代数方程没有一般的用根式求解的公式,从而结束了一般代数方程求根式通解的企图。类似地,1841年刘维尔证明了下述的黎卡提方程

    (10)

有且只有在v为非负整数时才有“初等解”,亦即经过有限次的初等运算求得的显式解,从而结束了一般常微分方程求通解的企图。

(2)1832年,E.伽罗瓦创造了群的概念,并将代数方程的根用根式表达的可能性和代数方程的根组成的置换群的可解性相联系,得到可能性的充分必要条件是可解性。类似地,1874年M.S.李将群的概念用于常微分方程,引入了将常微分方程的解变为解的连续变换群的概念。当连续变换群已知时,常微分方程的积分因子即可显式地写出,从而解决了解的可积性问题。这些工作从正反两方面将常微分方程的理论提高到一个新的水平。

19世纪末期和20世纪初期是常微分方程发展的第三个阶段。这个阶段常微分方程在三个方面有重大发展,都与庞加莱的工作相联系。

第一是关于常微分方程的解析理论的研究。在柯西之后,重点转向大范围的研究。C.A.布里奥和J.-C.布凯由常微分方程出发建立椭圆函数的一般理论,(G.F.)B.黎曼和I.L.富克斯关于线性方程的理论,以及富克斯和庞加莱关于一阶非线性方程的理论,最后是庞加莱和(C.)F.克莱因的自守函数理论。形象化地说,如果将椭圆函数看作是环面上的解析函数,则一般的自守函数便可看成是在一般有向二维闭曲面上所定义的解析函数,这些自守函数都可用某种常微分方程来描述。自守函数的研究完整地解决了代数微分的积分问题。

组合拓扑学为微分方程的全局研究提供了背景。常微分方程和组合拓扑学互相支持,共同前进。

第二是常微分方程实域定性理论的创立。在代数学中,五次代数方程没有一般的根式求解公式这一事实并不防碍斯图姆创立用代数方法决定实根个数的新成就。类似地,在非线性方程一般不能求“初等解”的事实下,庞加莱开创了常微分方程实域定性理论这一新分支。它的特点是:由复域的研究又转到实域的研究,由函数的研究转到曲线的研究,由个别解的研究转到解的集体的研究,由解的解析性质的研究转到解所定义的积分曲线的几何拓扑性质的定性研究,由应用等式转到应用不等式。庞加莱将他的论文定名为《论微分方程所定义的积分曲线》是突出了他所研究的主题和应用的方法。

这一新分支的内容包括奇点附近积分曲线的分布、极限环(即孤立周期解)、奇点的大范围分布、环面上的积分曲线、以及三维空间周期解附近积分曲线的情形等等。这些主题后来都得到极大的发展。

高维空间奇点附近积分曲线随时间发展的定性研究在 1892年被Α.М.李亚普诺夫发展成为一个专门的新分支──运动稳定性。庞加莱在平面上引入的“无切环线”的概念被“李亚普诺夫函数”的概念推广到高维空间,成为控制理论的有力工具。

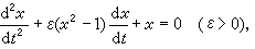
极限环,即孤立周期解,已成为许多实际问题的核心,例如在无线电技术中的范德坡方程

    (11)

便是非线性方程产生孤立周期振荡的典型例子。

奇点大范围分布的研究与组合拓扑学的研究在庞加莱的工作中是双生的兄弟关系。

环面上的微分方程的研究成为后来迅速发展的流形上的微分方程的研究的最典型的特例。

空间中的解曲线的性质的研究,特别是“三体问题”的研究促使G.D.伯克霍夫于1927年开创了动力系统这一新分支。

第三是摄动理论即小参数理论的创立。由于天体力学,特别是“三体问题”的需要,庞加莱总结了天文学家A.林斯泰特等人的方法,系统地整理在《天体力学的新方法》一书中,并加以发展成为摄动理论。

20世纪中期起,常微分方程的发展既深又广,进入了一个新的阶段,包括了四个方面的工作。

第一是由于工程技术的需要而产生新型问题和新的分支。例如工程控制论中火箭发动机中燃烧过程由于时滞现象而产生的带有时滞的常微分方程或称微分差分方程

    (12)

这里不仅依赖于t时的φ(t),而且还依赖于(t-τ)时的φ(t-τ)和 μ(t-τ)。这样便产生了微分差分方程,以及更广义的泛函微分方程。又如由于空气中的湍流对于飞行中飞机机翼所引起的干扰对飞机运动的影响,这里常微分方程带有随机摄动项,如

式中x是随机输入,α是反馈参数。这类问题产生了常微分方程和概率论之间的一个新分支──随机微分方程。

第二是由于应用问题需要解析形式的解,虽然明知一般非线性问题得不到精确的解析形式的解,但退而要求给出近似的解析形式的解。这方面包括PLK(庞加莱-莱特希尔-郭永怀)方法、WKB(文策尔-克拉默斯-布里尤安)方法、КБМ(克雷洛夫-博格柳博夫-米特罗波利斯基)方法、多尺度法、匹配法、奇摄动法、区域分析法,等等;以及由于电子计算机的出现而产生的其他近似的解析形式的解的求法。

第三是电子计算机的出现与发展对于常微分方程研究的推动及由此产生的成果。包括常微分方程的数值求解法(如“刚性”方程的求解),常微分方程的数值模拟,(如用于洛仑茨方程的定性研究),常微分方程中若干公式的机器推导(如中心焦点判定公式的机器推导),等等。常微分方程由解析解难求而转到定性研究,当定性研究也困难时,又转而用计算机“强攻”,得出一定的数值模拟结果后,为定性研究提供了感性的新信息。这方面的发展正在兴起。

第四是常微分方程理论本身向高维数、抽象化的方向发展。包括从普通空间常微分方程向抽象空间常微分方程发展,具体动力系统向抽象动力系统发展,实域定性理论向复域定性理论发展,二维平面上的一维积分曲线的研究向四维空间中二维积分曲面的研究发展等等。

中国的常微分方程研究在中华人民共和国建立前只有个别的人从事过,中华人民共和国建立后则由于社会主义建设的需要有了极大的发展,在全国形成若干集体,并取得一批成果。

既有应用方面的需求,又有理论方面的推动,已有三百年历史的老学科常微分方程正在新的、广泛深入的领域中得到发展。